🇳🇴 🇬🇧 🇩🇪 🇨🇿 🇫🇮

Meteor, poloha: Noresund 2015-10-13 21:28:38 UTC

Soubor KML  |  InteraktivnĂ­ mapa

Mapa zobrazuje dráhy meteoru. Světlejší čáry ukazují směry od pozorovacích stanic při objevení se meteoru a tmavší čáry, kde byl naposledy viděn. Modrá šipka značí viditelnou dráhu meteoru.

static map
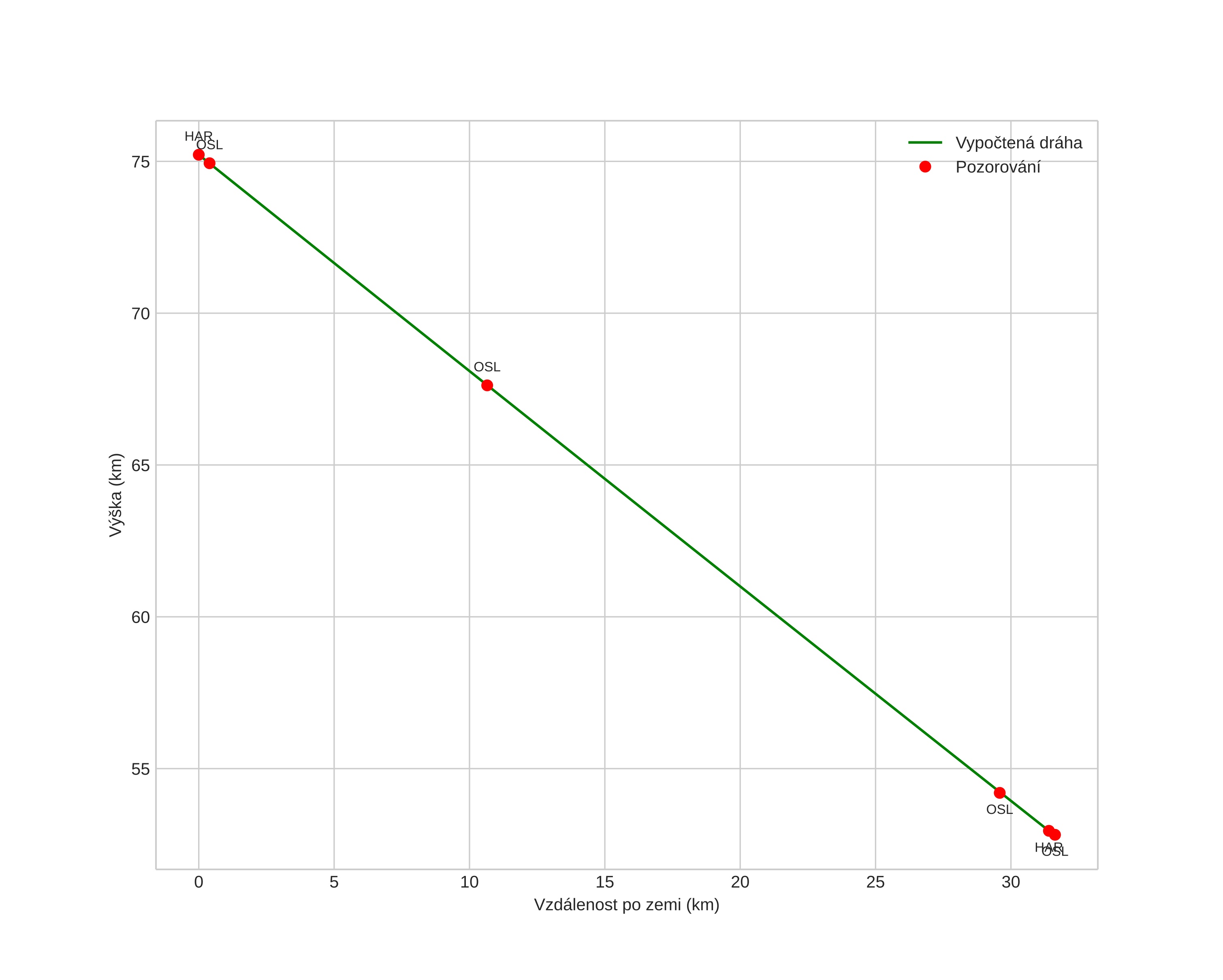
height profile
Atmosférická dráha meteoru:
Počáteční výška: 75,2 km
Konečná výška: 52,8 km
Počáteční poloha: 60,129N 9,442E
Konečná poloha: 60,324N 9,859E
Směr: 46,5°
Sklon: 35,3°
VstupnĂ­ rychlost: 12,4 km/s
Rektascenze radiantu: 20:28 (307,0°)
Deklinace radiantu: -7,9°
MeteorickĂ˝ roj: sporadickĂ˝
Elementy dráhy meteoroidu:
Vzdálenost v periheliu: 0,991 AU
Excentricita: 0,405
Sklon dráhy: 1,8°
Délka vzestupného uzlu: 200,0°
Argument perihelia: 192,3°
Střední anomálie: 355,2°
Epocha: 2015 OCT 13 21:28:38
orbit plot

NeinteraktivnĂ­ graf | InteraktivnĂ­ graf

position vs time
speed and acceleration