🇳🇴 🇬🇧 🇩🇪 🇨🇿 🇫🇮

Meteor, poloha: Sandefjord 2015-10-13 22:28:09 UTC

Soubor KML  |  InteraktivnĂ­ mapa

Mapa zobrazuje dráhy meteoru. Světlejší čáry ukazují směry od pozorovacích stanic při objevení se meteoru a tmavší čáry, kde byl naposledy viděn. Modrá šipka značí viditelnou dráhu meteoru.

static map
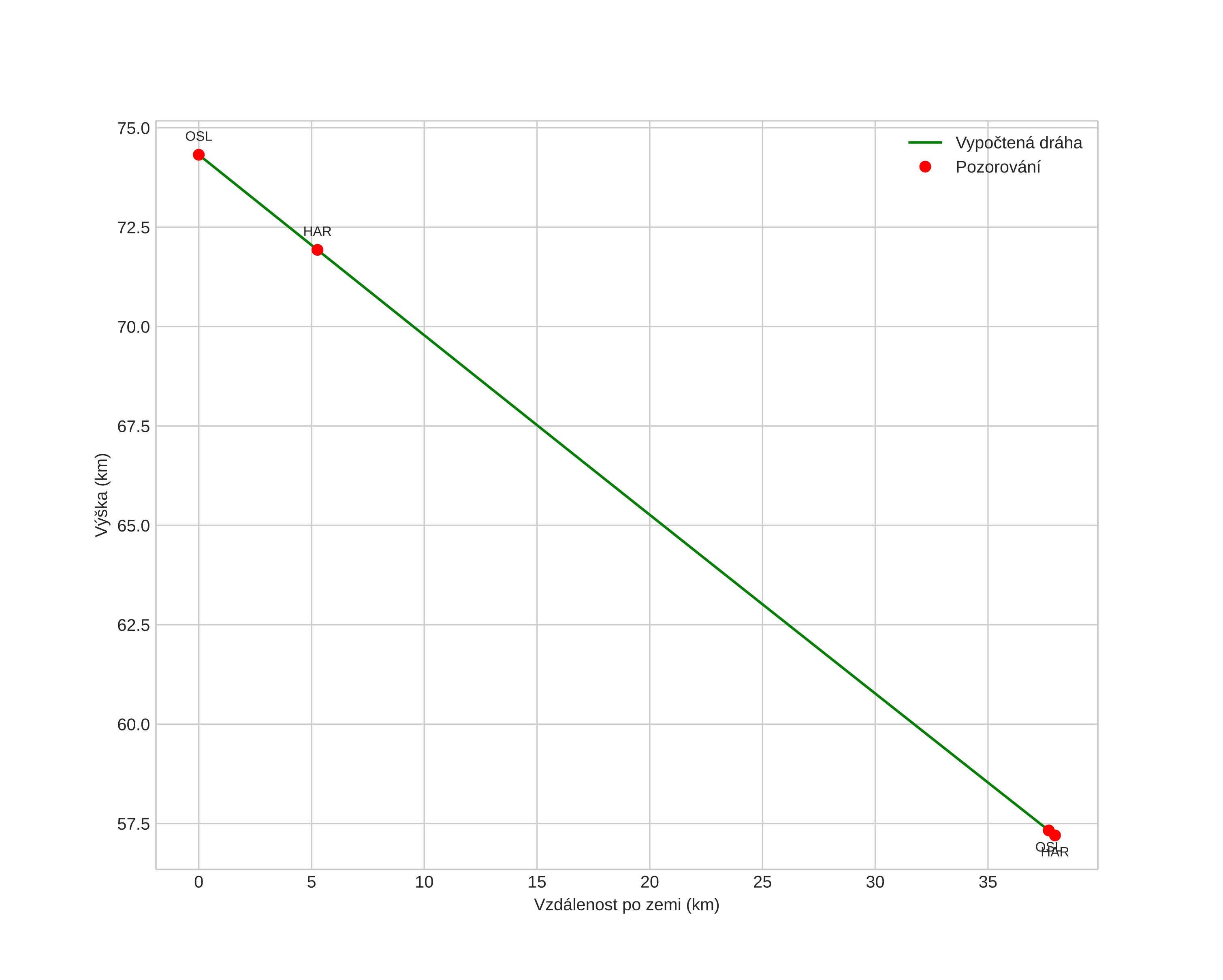
height profile
Atmosférická dráha meteoru:
Počáteční výška: 74,3 km
Konečná výška: 57,2 km
Počáteční poloha: 58,804N 9,695E
Konečná poloha: 59,030N 10,191E
Směr: 48,4°
Sklon: 24,2°
VstupnĂ­ rychlost: 12,0 km/s
Rektascenze radiantu: 20:47 (311,9°)
Deklinace radiantu: -26,0°
MeteorickĂ˝ roj: sporadickĂ˝
Elementy dráhy meteoroidu:
Vzdálenost v periheliu: 0,992 AU
Excentricita: 0,351
Sklon dráhy: 1,1°
Délka vzestupného uzlu: 20,1°
Argument perihelia: 12,4°
Střední anomálie: 354,4°
Epocha: 2015 OCT 13 22:28:09
orbit plot

NeinteraktivnĂ­ graf | InteraktivnĂ­ graf

position vs time
speed and acceleration