🇳🇴 🇬🇧 🇩🇪 🇨🇿 🇫🇮

Meteor, poloha: Rødberg 2015-10-15 20:01:54 UTC

Soubor KML  |  InteraktivnĂ­ mapa

Mapa zobrazuje dráhy meteoru. Světlejší čáry ukazují směry od pozorovacích stanic při objevení se meteoru a tmavší čáry, kde byl naposledy viděn. Modrá šipka značí viditelnou dráhu meteoru.

static map
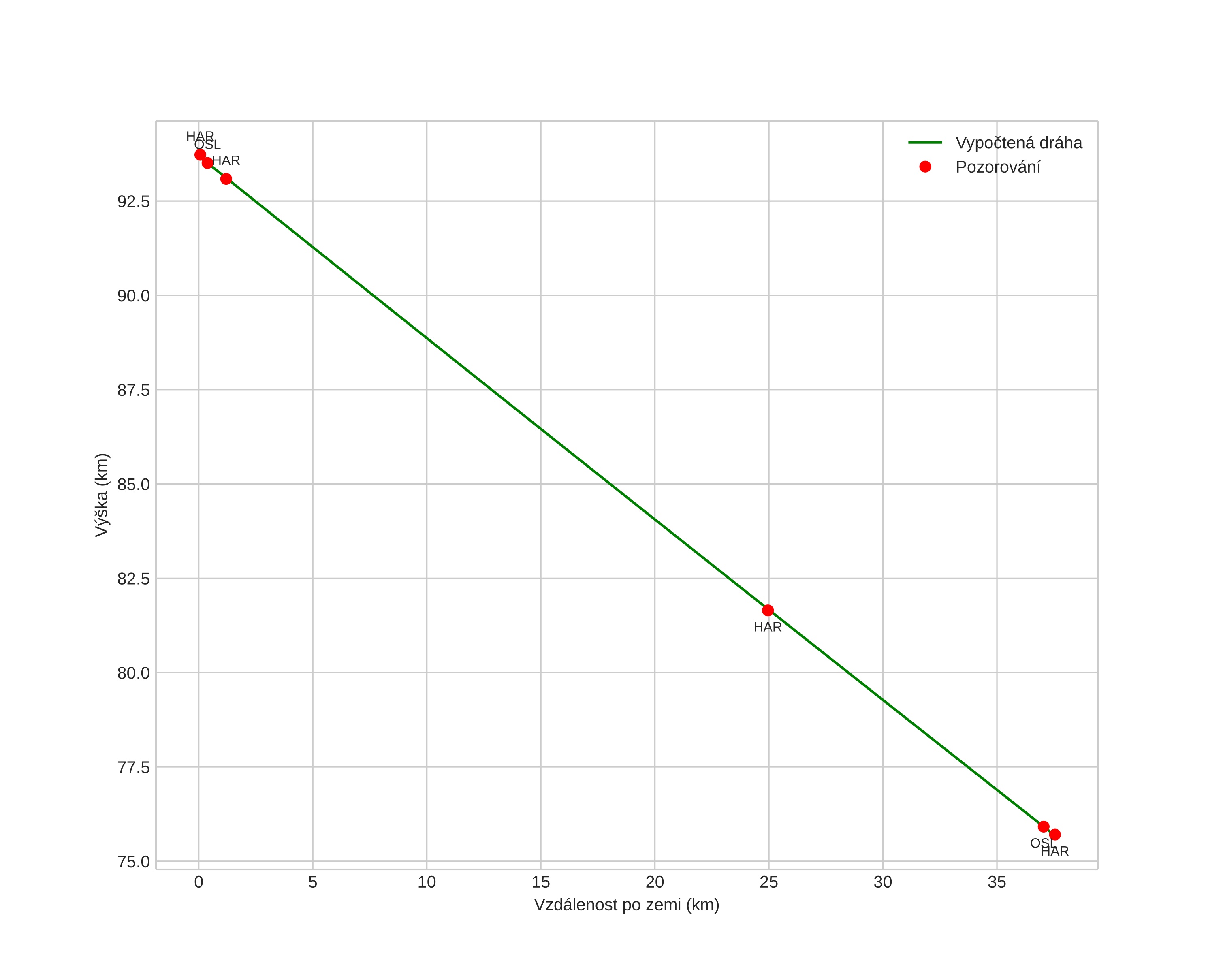
height profile
Atmosférická dráha meteoru:
Počáteční výška: 93,7 km
Konečná výška: 75,7 km
Počáteční poloha: 59,905N 9,633E
Konečná poloha: 60,019N 8,999E
Směr: 290,1°
Sklon: 25,6°
VstupnĂ­ rychlost: 33,8 km/s
Rektascenze radiantu: 02:19 (34,8°)
Deklinace radiantu: 10,8°
MeteorickĂ˝ roj: sporadickĂ˝
Elementy dráhy meteoroidu:
Vzdálenost v periheliu: 0,290 AU
Excentricita: 0,897
Sklon dráhy: 4,2°
Délka vzestupného uzlu: 21,9°
Argument perihelia: 120,0°
Střední anomálie: 351,7°
Epocha: 2015 OCT 15 20:01:54
orbit plot

NeinteraktivnĂ­ graf | InteraktivnĂ­ graf

position vs time
speed and acceleration