🇳🇴 🇬🇧 🇩🇪 🇨🇿 🇫🇮

Meteor über Fossbergom 2015-10-18 01:21:13 UTC

KML-Datei  |  Interaktive Karte

Die Karte zeigt die Peilungen für den Meteor. Die helleren Linien zeigen die Richtungen von den Beobachtungsorten beim Erscheinen des Meteors, und die dunkleren Linien, wo er zuletzt gesehen wurde. Der blaue Pfeil zeigt die sichtbare Bahn des Meteors.

static map
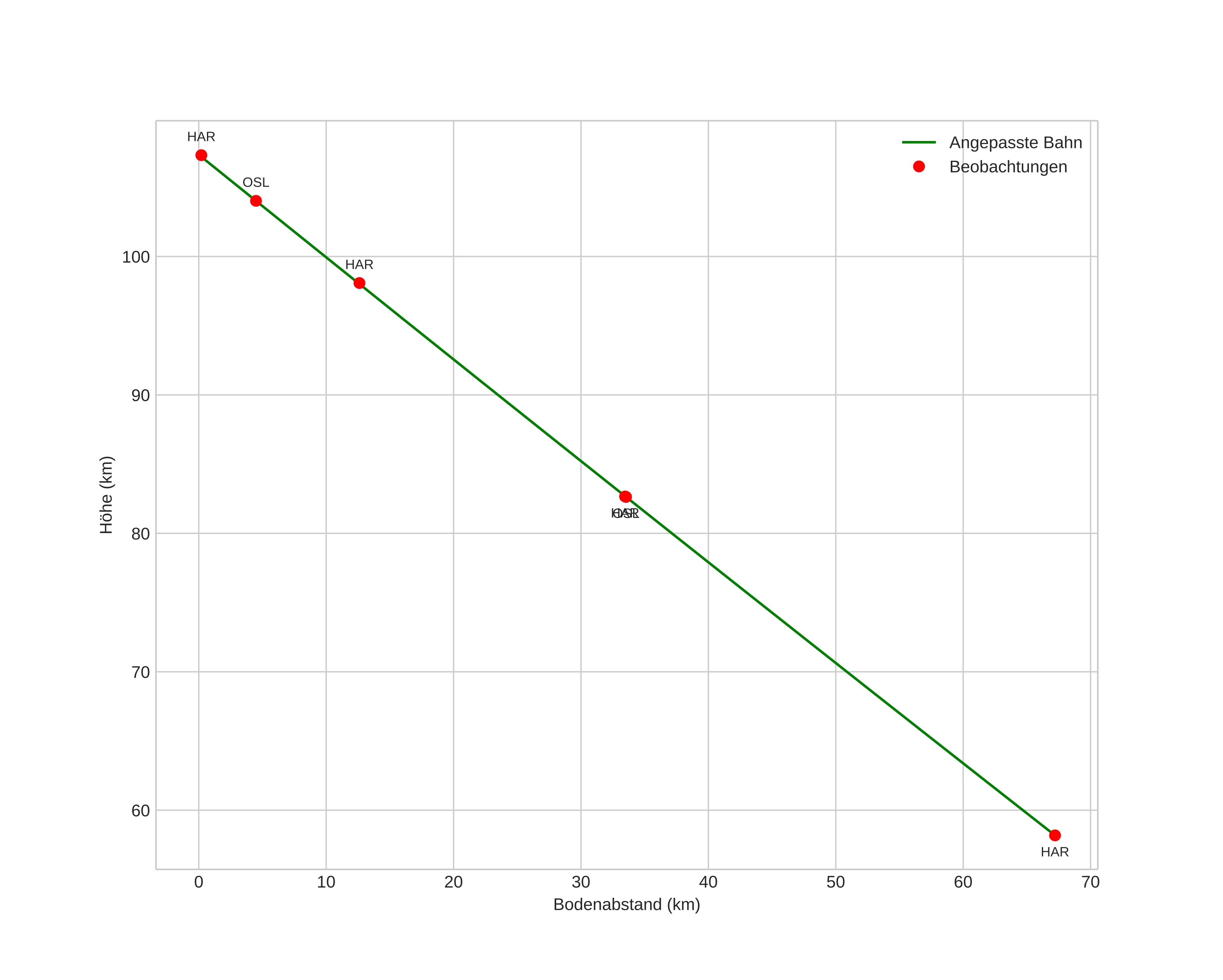
height profile
Atmosphärische Bahn des Meteors:
Anfangshöhe: 107,3 km
Endhöhe: 58,2 km
Startposition: 61,155N 9,629E
Endposition: 61,587N 8,747E
Richtung: 316,0°
Neigungswinkel: 36,2°
Eintrittsgeschwindigkeit: 70,4 km/s
Rektaszension des Radianten: 06:04 (91,0°)
Deklination des Radianten: 13,3°
Meteorstrom: Orioniden
Bahnelemente des Meteoroiden:
Periheldistanz: 0,644 AU
Exzentrizität: 1,146
Inklination: 159,7°
Länge des aufsteigenden Knotens: 24,1°
Argument des Perihels: 70,3°
Mittlere Anomalie: -3,7°
Epoche: 2015 OCT 18 01:21:13
orbit plot

Nicht-interaktives Diagramm | Interaktives Diagramm

position vs time
speed and acceleration