🇳🇴 🇬🇧 🇩🇪 🇨🇿 🇫🇮

Meteor, poloha: Skjeberg 2015-10-18 03:19:36 UTC

Soubor KML  |  InteraktivnĂ­ mapa

Mapa zobrazuje dráhy meteoru. Světlejší čáry ukazují směry od pozorovacích stanic při objevení se meteoru a tmavší čáry, kde byl naposledy viděn. Modrá šipka značí viditelnou dráhu meteoru.

static map
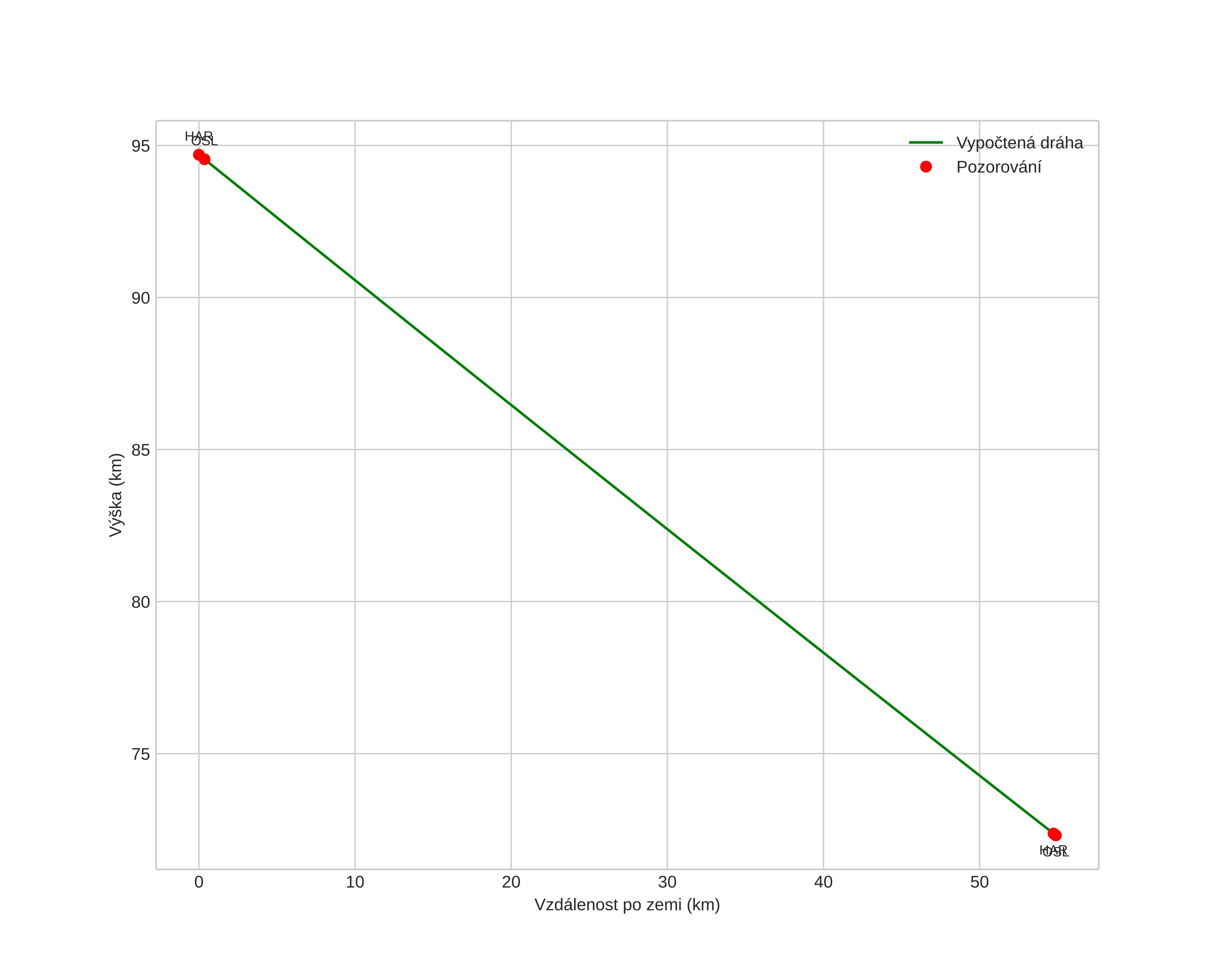
height profile
Atmosférická dráha meteoru:
Počáteční výška: 94,7 km
Konečná výška: 72,3 km
Počáteční poloha: 59,134N 10,228E
Konečná poloha: 59,238N 11,169E
Směr: 77,4°
Sklon: 22,2°
VstupnĂ­ rychlost: 23,8 km/s
Rektascenze radiantu: 01:02 (15,7°)
Deklinace radiantu: 8,5°
MeteorickĂ˝ roj: sporadickĂ˝
Elementy dráhy meteoroidu:
Vzdálenost v periheliu: 0,647 AU
Excentricita: 0,805
Sklon dráhy: 1,1°
Délka vzestupného uzlu: 204,2°
Argument perihelia: 257,8°
Střední anomálie: 353,2°
Epocha: 2015 OCT 18 03:19:36
orbit plot

NeinteraktivnĂ­ graf | InteraktivnĂ­ graf

position vs time
speed and acceleration