🇳🇴 🇬🇧 🇩🇪 🇨🇿 🇫🇮

Meteor, poloha: Hirtshals 2015-10-23 21:14:11 UTC

Soubor KML  |  InteraktivnĂ­ mapa

Mapa zobrazuje dráhy meteoru. Světlejší čáry ukazují směry od pozorovacích stanic při objevení se meteoru a tmavší čáry, kde byl naposledy viděn. Modrá šipka značí viditelnou dráhu meteoru.

static map
height profile
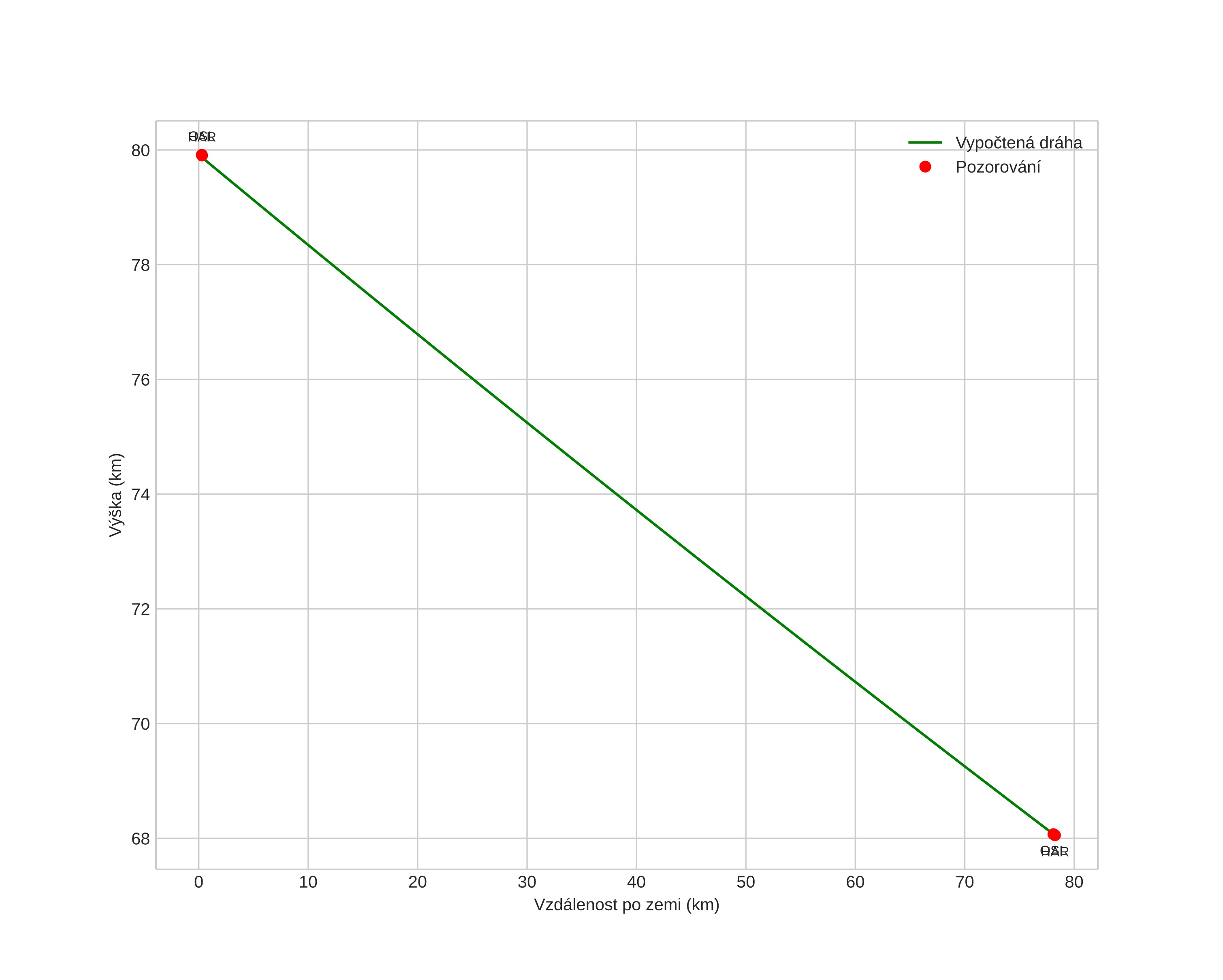
Atmosférická dráha meteoru:
Počáteční výška: 79,9 km
Konečná výška: 68,1 km
Počáteční poloha: 58,758N 9,964E
Konečná poloha: 58,080N 9,602E
Směr: 195,8°
Sklon: 8,6°
VstupnĂ­ rychlost: 41,5 km/s
Rektascenze radiantu: 10:43 (160,9°)
Deklinace radiantu: 36,7°
MeteorickĂ˝ roj: sporadickĂ˝
Elementy dráhy meteoroidu:
Vzdálenost v periheliu: 0,206 AU
Excentricita: 0,720
Sklon dráhy: 95,6°
Délka vzestupného uzlu: 209,9°
Argument perihelia: 26,8°
Střední anomálie: 82,8°
Epocha: 2015 OCT 23 21:14:11
orbit plot

NeinteraktivnĂ­ graf | InteraktivnĂ­ graf

position vs time
speed and acceleration