🇳🇴 🇬🇧 🇩🇪 🇨🇿 🇫🇮

Meteor, poloha: Lærdalsøyri 2015-10-23 22:53:14 UTC

Soubor KML  |  InteraktivnĂ­ mapa

Mapa zobrazuje dráhy meteoru. Světlejší čáry ukazují směry od pozorovacích stanic při objevení se meteoru a tmavší čáry, kde byl naposledy viděn. Modrá šipka značí viditelnou dráhu meteoru.

static map
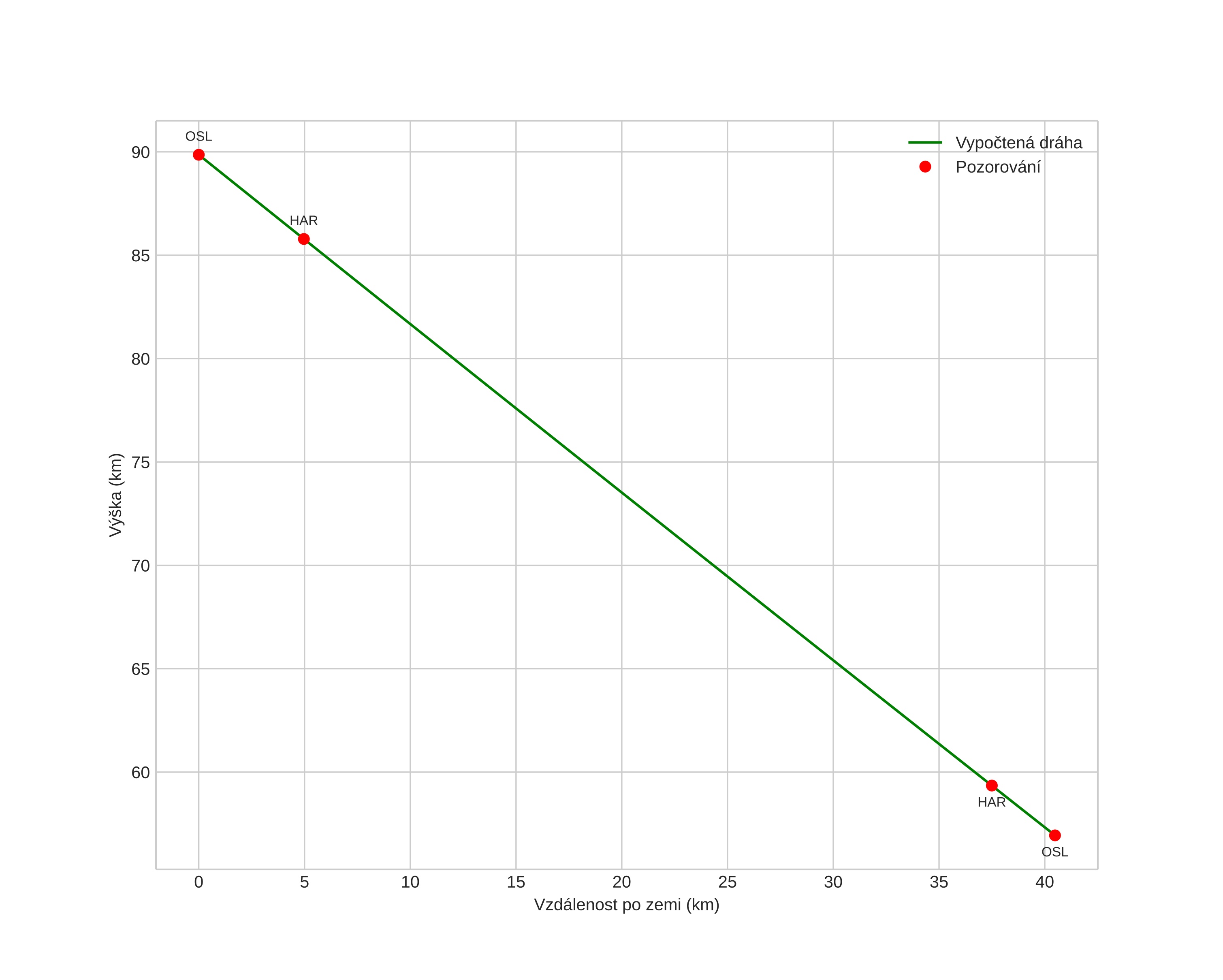
height profile
Atmosférická dráha meteoru:
Počáteční výška: 89,9 km
Konečná výška: 56,9 km
Počáteční poloha: 60,529N 7,919E
Konečná poloha: 60,858N 7,599E
Směr: 334,7°
Sklon: 39,2°
VstupnĂ­ rychlost: 29,2 km/s
Rektascenze radiantu: 02:50 (42,7°)
Deklinace radiantu: 9,7°
MeteorickĂ˝ roj: JiĹľnĂ­ Tauridy
Elementy dráhy meteoroidu:
Vzdálenost v periheliu: 0,357 AU
Excentricita: 0,797
Sklon dráhy: 7,2°
Délka vzestupného uzlu: 30,0°
Argument perihelia: 116,4°
Střední anomálie: 341,3°
Epocha: 2015 OCT 23 22:53:14
orbit plot

NeinteraktivnĂ­ graf | InteraktivnĂ­ graf

position vs time
speed and acceleration