🇳🇴 🇬🇧 🇩🇪 🇨🇿 🇫🇮

Meteor, poloha: Fedje 2015-11-02 01:21:25 UTC

Soubor KML  |  InteraktivnĂ­ mapa

Mapa zobrazuje dráhy meteoru. Světlejší čáry ukazují směry od pozorovacích stanic při objevení se meteoru a tmavší čáry, kde byl naposledy viděn. Modrá šipka značí viditelnou dráhu meteoru.

static map
height profile
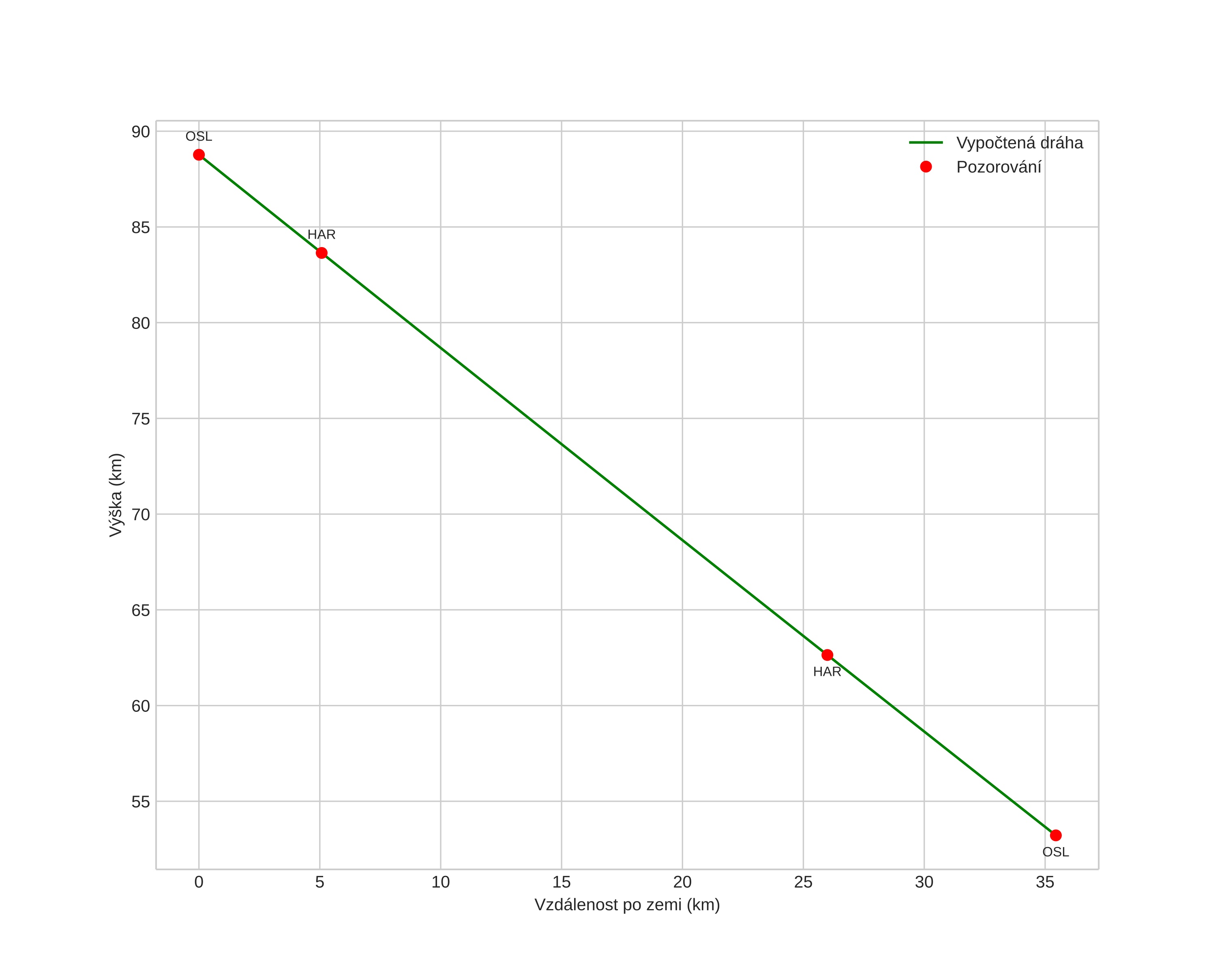
Atmosférická dráha meteoru:
Počáteční výška: 88,8 km
Konečná výška: 53,2 km
Počáteční poloha: 59,891N 3,872E
Konečná poloha: 60,210N 3,898E
Směr: 2,3°
Sklon: 45,1°
VstupnĂ­ rychlost: 29,9 km/s
Rektascenze radiantu: 04:11 (62,8°)
Deklinace radiantu: 13,2°
MeteorickĂ˝ roj: sporadickĂ˝
Elementy dráhy meteoroidu:
Vzdálenost v periheliu: 0,224 AU
Excentricita: 0,805
Sklon dráhy: 11,4°
Délka vzestupného uzlu: 39,1°
Argument perihelia: 137,3°
Střední anomálie: 325,4°
Epocha: 2015 NOV 02 01:21:25
orbit plot

NeinteraktivnĂ­ graf | InteraktivnĂ­ graf

position vs time
speed and acceleration