🇳🇴 🇬🇧 🇩🇪 🇨🇿 🇫🇮

Meteor Slidren yllä 2015-11-02 04:14:11 UTC

KML-tiedosto  |  Interaktiivinen kartta

Kartta näyttää meteorin suuntahavainnot. Vaaleammat viivat näyttävät suunnat havaintoasemilta meteorin ilmestyessä, ja tummemmat viivat näyttävät, missä se viimeksi nähtiin. Sininen nuoli näyttää meteorin näkyvän lennon.

static map
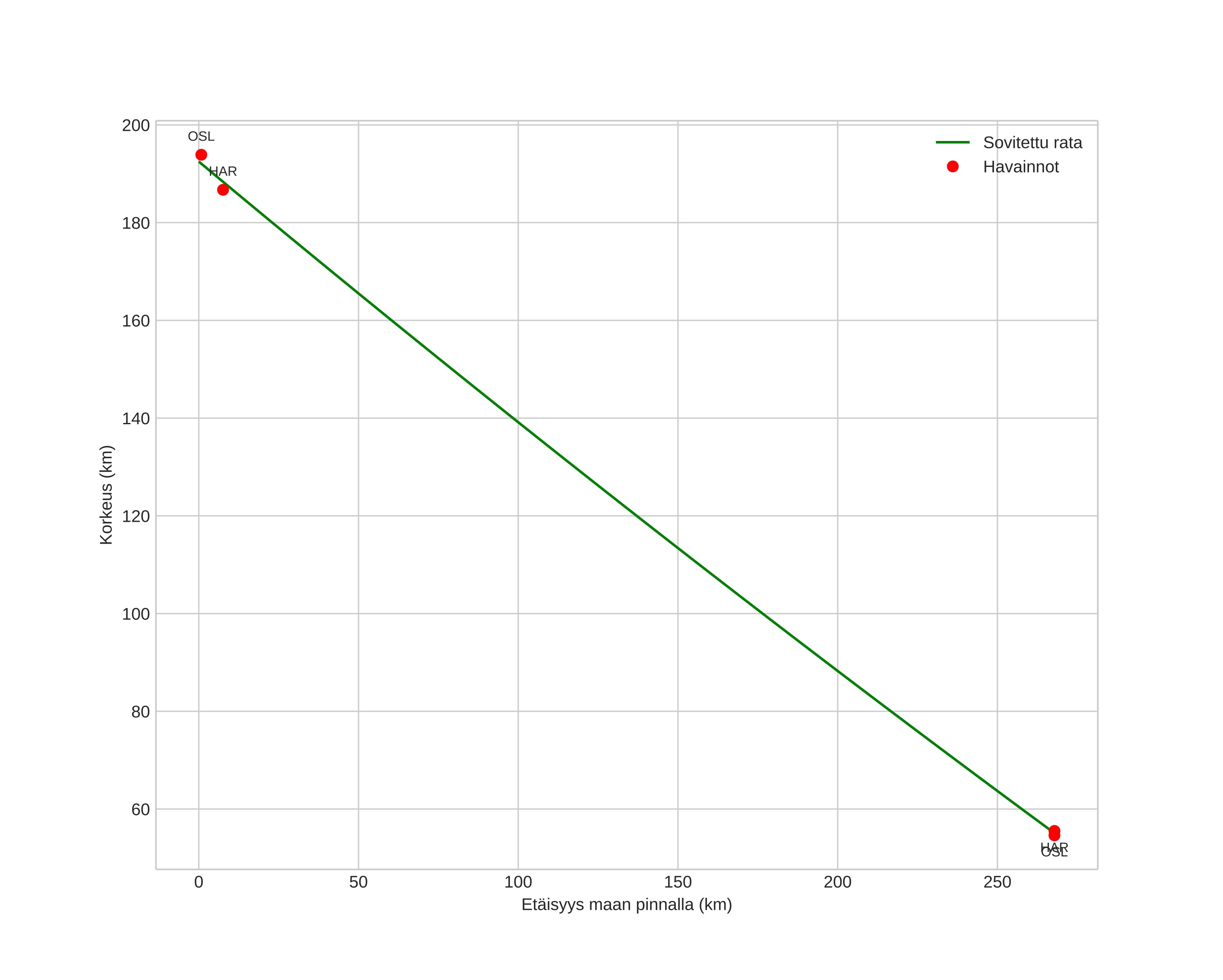
height profile
Meteorin ilmakehärata:
Alkukorkeus: 192,5 km
Loppukorkeus: 55,0 km
Alkupiste: 62,298N 4,339E
Loppupiste: 61,156N 8,823E
Suunta: 116,3°
Kallistuskulma: 27,2°
Tulonopeus: 133,5 km/s
Radiantin R,A,: 00:36 (9,0°)
Radiantin Dekl,: 35,7°
Meteoriparvi: Sporadinen
Meteoroidin rataelementit:
Perihelietäisyys: 0,599 AU
Eksentrisyys: 13,732
Inklinaatio: 46,4°
Nousevan solmun pituus: 219,2°
Perihelin argumentti: 234,9°
Keskianomalia: -931,2°
Epookki: 2015 NOV 02 04:14:11
orbit plot

Ei-interaktiivinen kuvaaja | Interaktiivinen kuvaaja

position vs time
speed and acceleration