🇳🇴 🇬🇧 🇩🇪 🇨🇿 🇫🇮

Meteor, poloha: FlĂĄ 2015-11-04 00:59:51 UTC

Soubor KML  |  InteraktivnĂ­ mapa

Mapa zobrazuje dráhy meteoru. Světlejší čáry ukazují směry od pozorovacích stanic při objevení se meteoru a tmavší čáry, kde byl naposledy viděn. Modrá šipka značí viditelnou dráhu meteoru.

static map
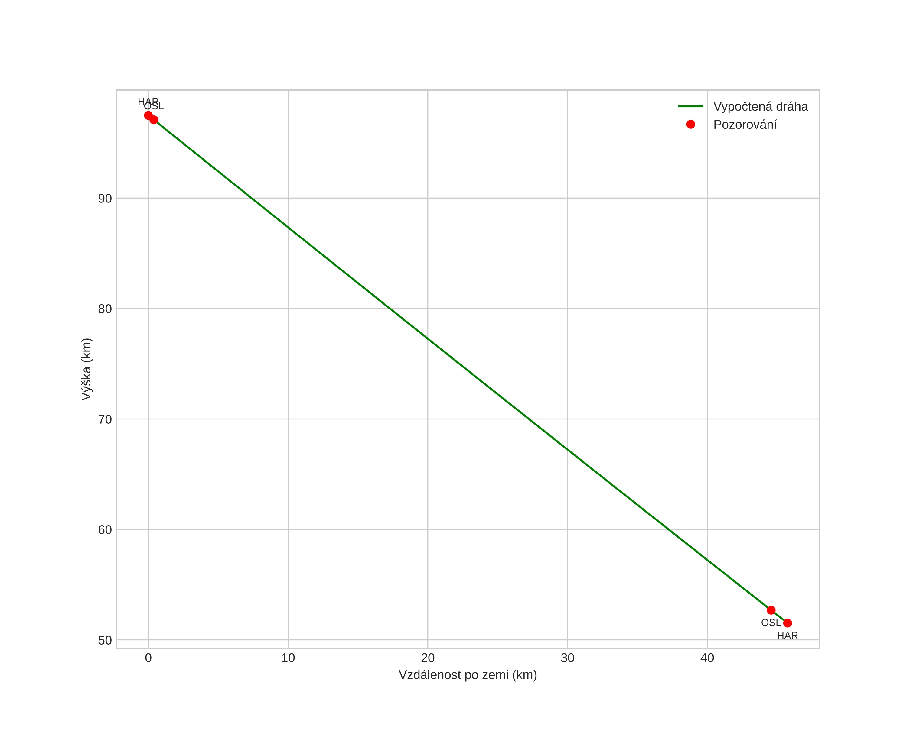
height profile
Atmosférická dráha meteoru:
Počáteční výška: 97,5 km
Konečná výška: 51,5 km
Počáteční poloha: 60,151N 9,138E
Konečná poloha: 60,546N 9,368E
Směr: 15,9°
Sklon: 45,2°
VstupnĂ­ rychlost: 32,3 km/s
Rektascenze radiantu: 03:38 (54,5°)
Deklinace radiantu: 14,5°
MeteorickĂ˝ roj: JiĹľnĂ­ Tauridy
Elementy dráhy meteoroidu:
Vzdálenost v periheliu: 0,302 AU
Excentricita: 0,865
Sklon dráhy: 6,5°
Délka vzestupného uzlu: 41,1°
Argument perihelia: 120,0°
Střední anomálie: 348,0°
Epocha: 2015 NOV 04 00:59:51
orbit plot

NeinteraktivnĂ­ graf | InteraktivnĂ­ graf

position vs time
speed and acceleration