🇳🇴 🇬🇧 🇩🇪 🇨🇿 🇫🇮

Meteor, poloha: Hovden 2015-11-10 20:05:28 UTC

Soubor KML  |  InteraktivnĂ­ mapa

Mapa zobrazuje dráhy meteoru. Světlejší čáry ukazují směry od pozorovacích stanic při objevení se meteoru a tmavší čáry, kde byl naposledy viděn. Modrá šipka značí viditelnou dráhu meteoru.

static map
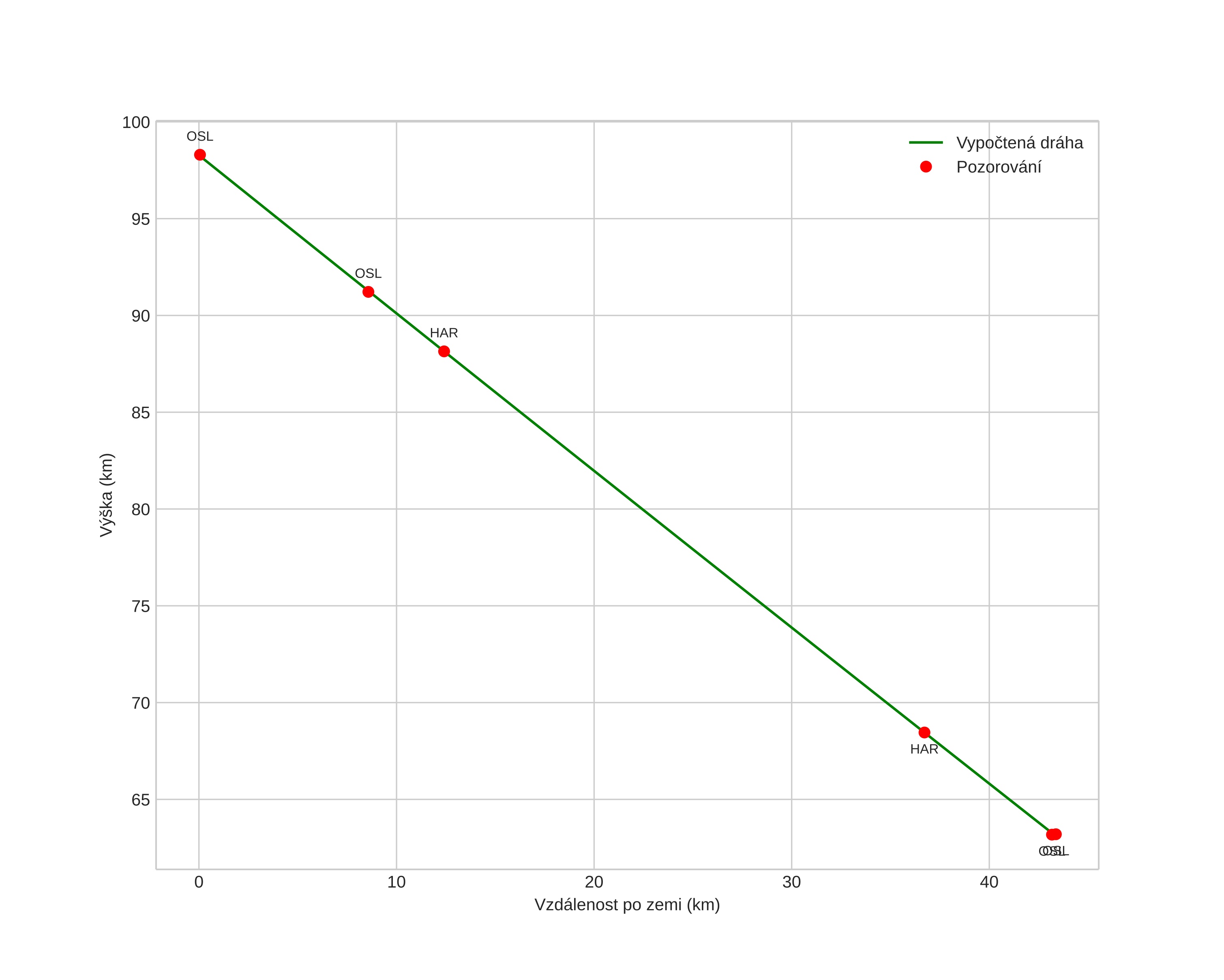
height profile
Atmosférická dráha meteoru:
Počáteční výška: 98,3 km
Konečná výška: 63,1 km
Počáteční poloha: 59,473N 8,142E
Konečná poloha: 59,576N 7,402E
Směr: 285,8°
Sklon: 39,1°
VstupnĂ­ rychlost: 33,2 km/s
Rektascenze radiantu: 03:42 (55,6°)
Deklinace radiantu: 24,5°
MeteorickĂ˝ roj: SevernĂ­ Tauridy
Elementy dráhy meteoroidu:
Vzdálenost v periheliu: 0,342 AU
Excentricita: 0,902
Sklon dráhy: 6,0°
Délka vzestupného uzlu: 227,9°
Argument perihelia: 292,3°
Střední anomálie: 354,0°
Epocha: 2015 NOV 10 20:05:28
orbit plot

NeinteraktivnĂ­ graf | InteraktivnĂ­ graf

position vs time
speed and acceleration