🇳🇴 🇬🇧 🇩🇪 🇨🇿 🇫🇮

Meteor, poloha: Hanstholm 2015-11-10 20:23:02 UTC

Soubor KML  |  InteraktivnĂ­ mapa

Mapa zobrazuje dráhy meteoru. Světlejší čáry ukazují směry od pozorovacích stanic při objevení se meteoru a tmavší čáry, kde byl naposledy viděn. Modrá šipka značí viditelnou dráhu meteoru.

static map
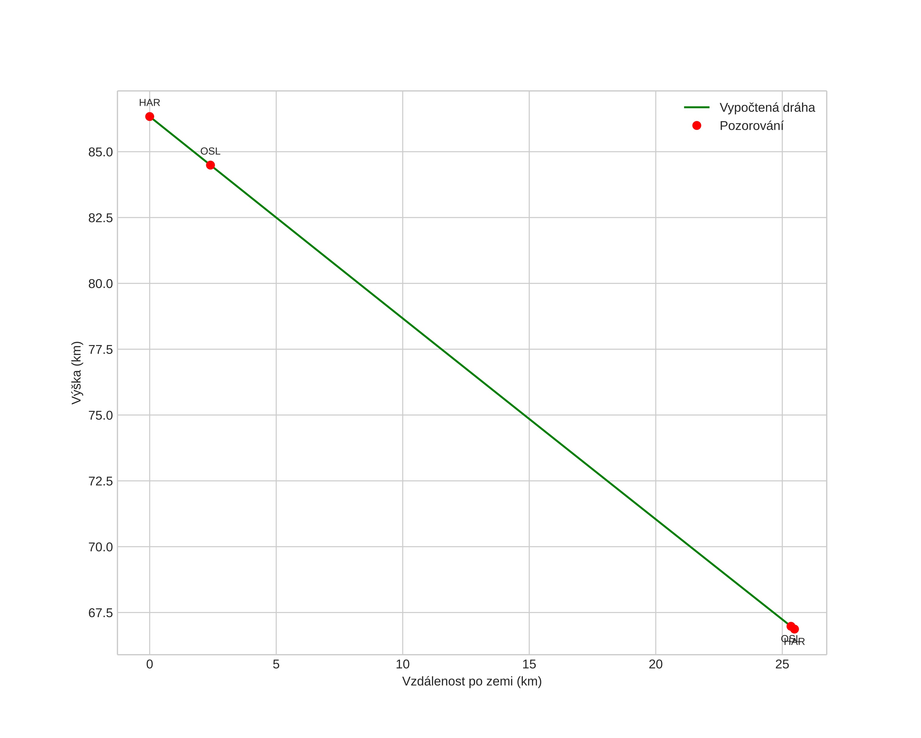
height profile
Atmosférická dráha meteoru:
Počáteční výška: 86,3 km
Konečná výška: 66,9 km
Počáteční poloha: 57,452N 9,190E
Konečná poloha: 57,484N 8,768E
Směr: 278,2°
Sklon: 37,3°
VstupnĂ­ rychlost: 29,3 km/s
Rektascenze radiantu: 04:29 (67,3°)
Deklinace radiantu: 25,0°
MeteorickĂ˝ roj: sporadickĂ˝
Elementy dráhy meteoroidu:
Vzdálenost v periheliu: 0,254 AU
Excentricita: 0,789
Sklon dráhy: 4,2°
Délka vzestupného uzlu: 227,9°
Argument perihelia: 313,3°
Střední anomálie: 327,1°
Epocha: 2015 NOV 10 20:23:02
orbit plot

NeinteraktivnĂ­ graf | InteraktivnĂ­ graf

position vs time
speed and acceleration