🇳🇴 🇬🇧 🇩🇪 🇨🇿 🇫🇮

Meteor, poloha: Bollebygd 2015-11-10 21:27:06 UTC

Soubor KML  |  InteraktivnĂ­ mapa

Mapa zobrazuje dráhy meteoru. Světlejší čáry ukazují směry od pozorovacích stanic při objevení se meteoru a tmavší čáry, kde byl naposledy viděn. Modrá šipka značí viditelnou dráhu meteoru.

static map
height profile
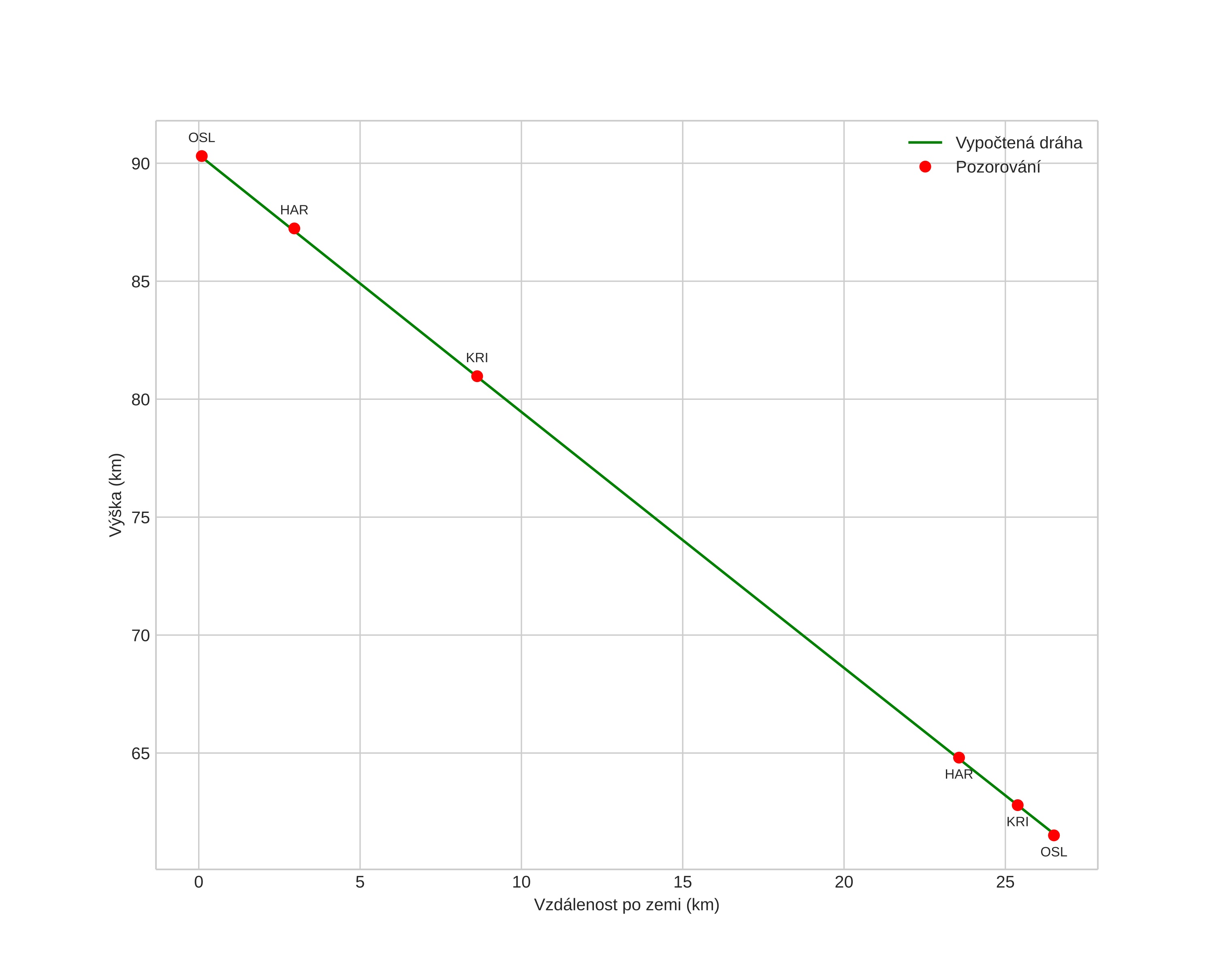
Atmosférická dráha meteoru:
Počáteční výška: 90,4 km
Konečná výška: 61,5 km
Počáteční poloha: 57,432N 12,510E
Konečná poloha: 57,668N 12,576E
Směr: 8,4°
Sklon: 47,4°
VstupnĂ­ rychlost: 18,5 km/s
Rektascenze radiantu: 01:06 (16,6°)
Deklinace radiantu: 10,0°
MeteorickĂ˝ roj: sporadickĂ˝
Elementy dráhy meteoroidu:
Vzdálenost v periheliu: 0,861 AU
Excentricita: 0,782
Sklon dráhy: 1,1°
Délka vzestupného uzlu: 227,8°
Argument perihelia: 225,5°
Střední anomálie: 356,2°
Epocha: 2015 NOV 10 21:27:06
orbit plot

NeinteraktivnĂ­ graf | InteraktivnĂ­ graf

position vs time
speed and acceleration