🇳🇴 🇬🇧 🇩🇪 🇨🇿 🇫🇮

Meteor, poloha: Ljungskile 2015-11-11 04:32:05 UTC

Soubor KML  |  InteraktivnĂ­ mapa

Mapa zobrazuje dráhy meteoru. Světlejší čáry ukazují směry od pozorovacích stanic při objevení se meteoru a tmavší čáry, kde byl naposledy viděn. Modrá šipka značí viditelnou dráhu meteoru.

static map
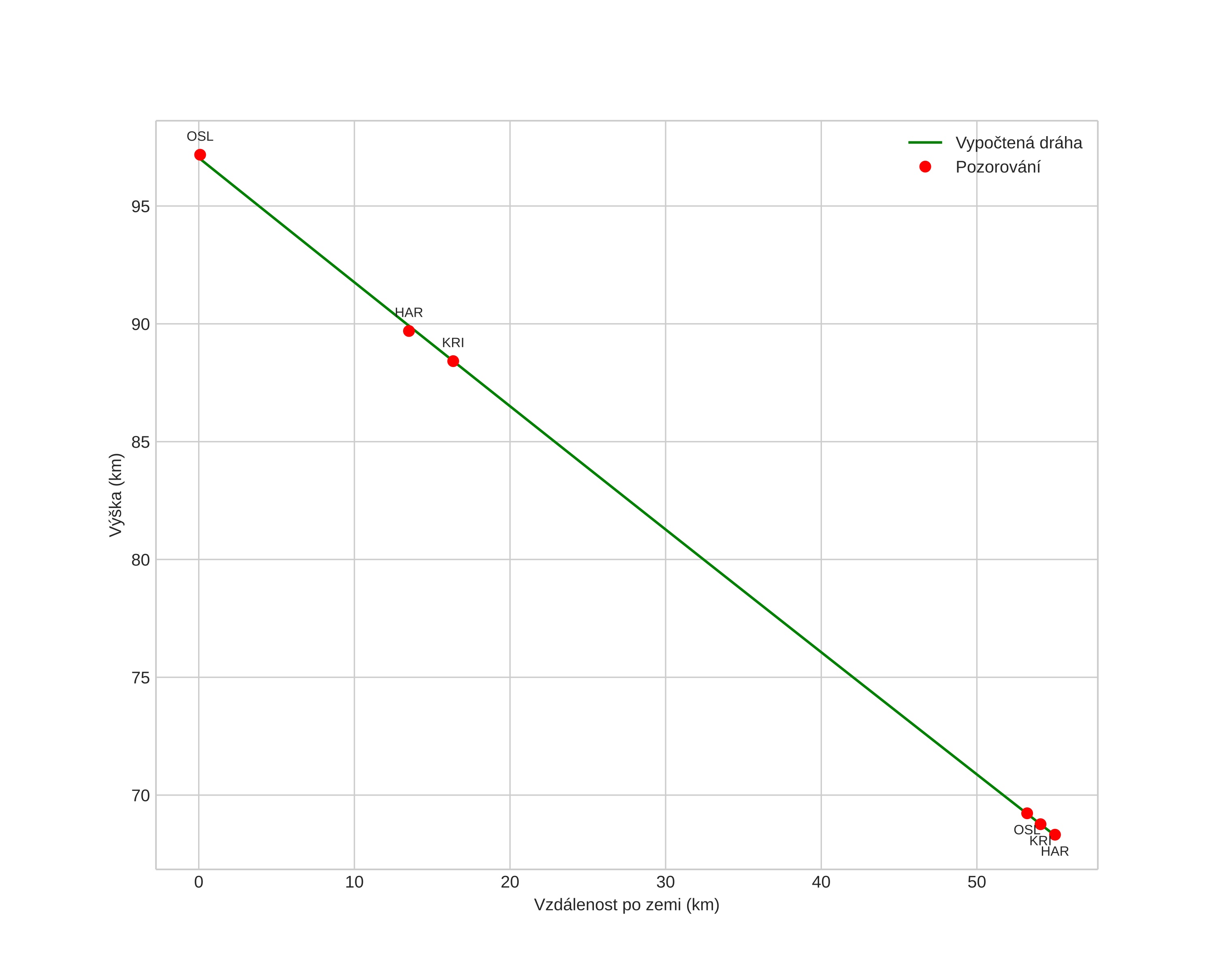
height profile
Atmosférická dráha meteoru:
Počáteční výška: 97,0 km
Konečná výška: 68,3 km
Počáteční poloha: 58,159N 11,041E
Konečná poloha: 58,270N 11,956E
Směr: 76,7°
Sklon: 27,6°
VstupnĂ­ rychlost: 29,2 km/s
Rektascenze radiantu: 04:11 (63,0°)
Deklinace radiantu: 14,1°
MeteorickĂ˝ roj: SevernĂ­ Tauridy
Elementy dráhy meteoroidu:
Vzdálenost v periheliu: 0,330 AU
Excentricita: 0,792
Sklon dráhy: 8,1°
Délka vzestupného uzlu: 48,3°
Argument perihelia: 120,5°
Střední anomálie: 338,4°
Epocha: 2015 NOV 11 04:32:05
orbit plot

NeinteraktivnĂ­ graf | InteraktivnĂ­ graf

position vs time
speed and acceleration