🇳🇴 🇬🇧 🇩🇪 🇨🇿 🇫🇮

Meteor, poloha: Rødberg 2015-11-11 19:24:44 UTC

Soubor KML  |  InteraktivnĂ­ mapa

Mapa zobrazuje dráhy meteoru. Světlejší čáry ukazují směry od pozorovacích stanic při objevení se meteoru a tmavší čáry, kde byl naposledy viděn. Modrá šipka značí viditelnou dráhu meteoru.

static map
height profile
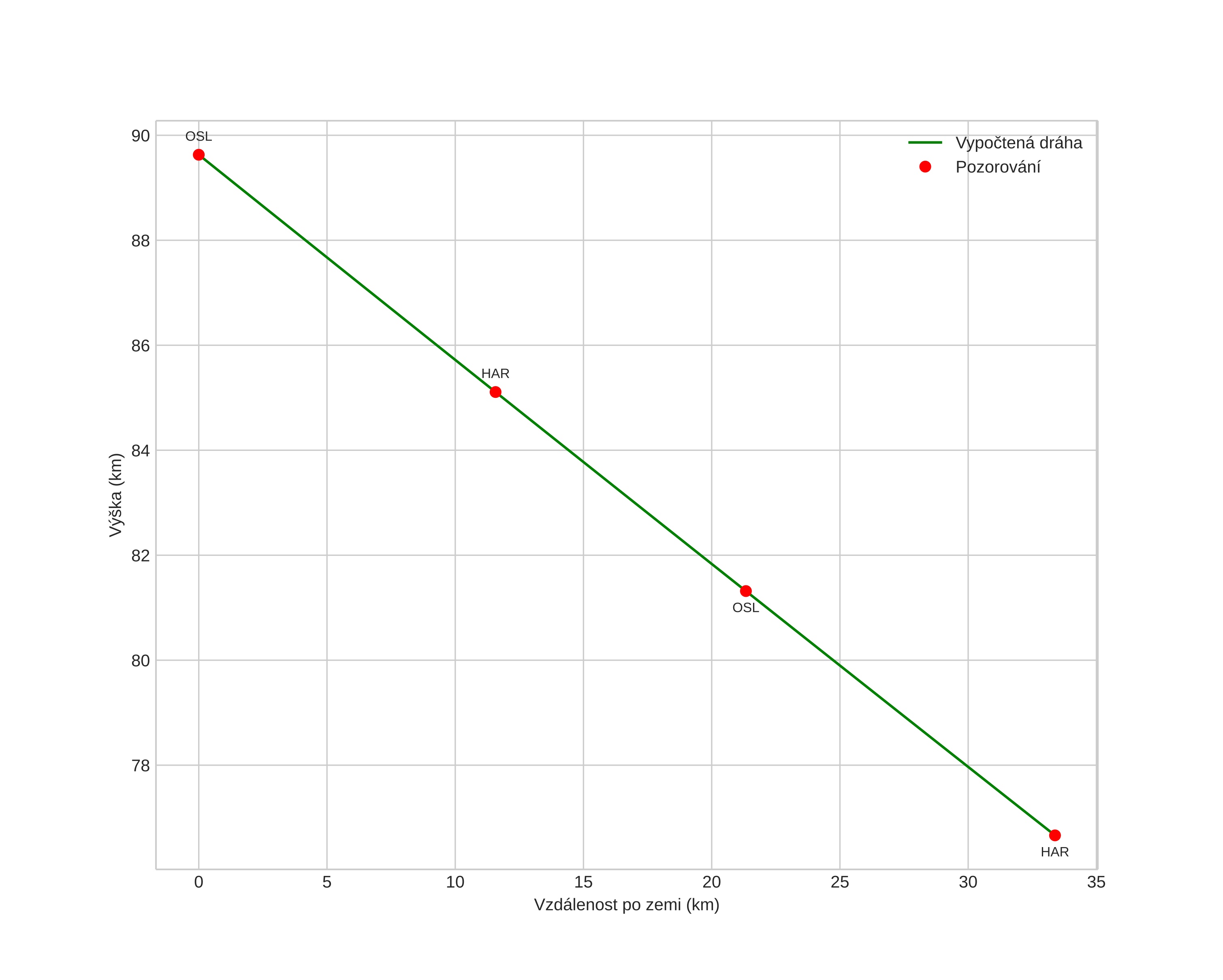
Atmosférická dráha meteoru:
Počáteční výška: 89,6 km
Konečná výška: 76,7 km
Počáteční poloha: 59,953N 9,622E
Konečná poloha: 60,105N 9,103E
Směr: 300,5°
Sklon: 21,1°
VstupnĂ­ rychlost: 22,6 km/s
Rektascenze radiantu: 03:07 (46,8°)
Deklinace radiantu: -0,7°
MeteorickĂ˝ roj: sporadickĂ˝
Elementy dráhy meteoroidu:
Vzdálenost v periheliu: 0,673 AU
Excentricita: 0,698
Sklon dráhy: 10,5°
Délka vzestupného uzlu: 48,9°
Argument perihelia: 77,2°
Střední anomálie: 346,9°
Epocha: 2015 NOV 11 19:24:44
orbit plot

NeinteraktivnĂ­ graf | InteraktivnĂ­ graf

position vs time
speed and acceleration