🇳🇴 🇬🇧 🇩🇪 🇨🇿 🇫🇮

Meteor, poloha: Askvoll 2015-11-14 18:35:02 UTC

Solobservatoriet – 1
Solobservatoriet – 1
Voksenlia – 2
Voksenlia – 2

Soubor KML  | Interaktivní mapa

map

Mapa zobrazuje dráhy meteoru. Světlejší čáry ukazují směry od pozorovacích stanic při objevení se meteoru a tmavší čáry, kde byl naposledy viděn. Modrá šipka značí viditelnou dráhu meteoru.

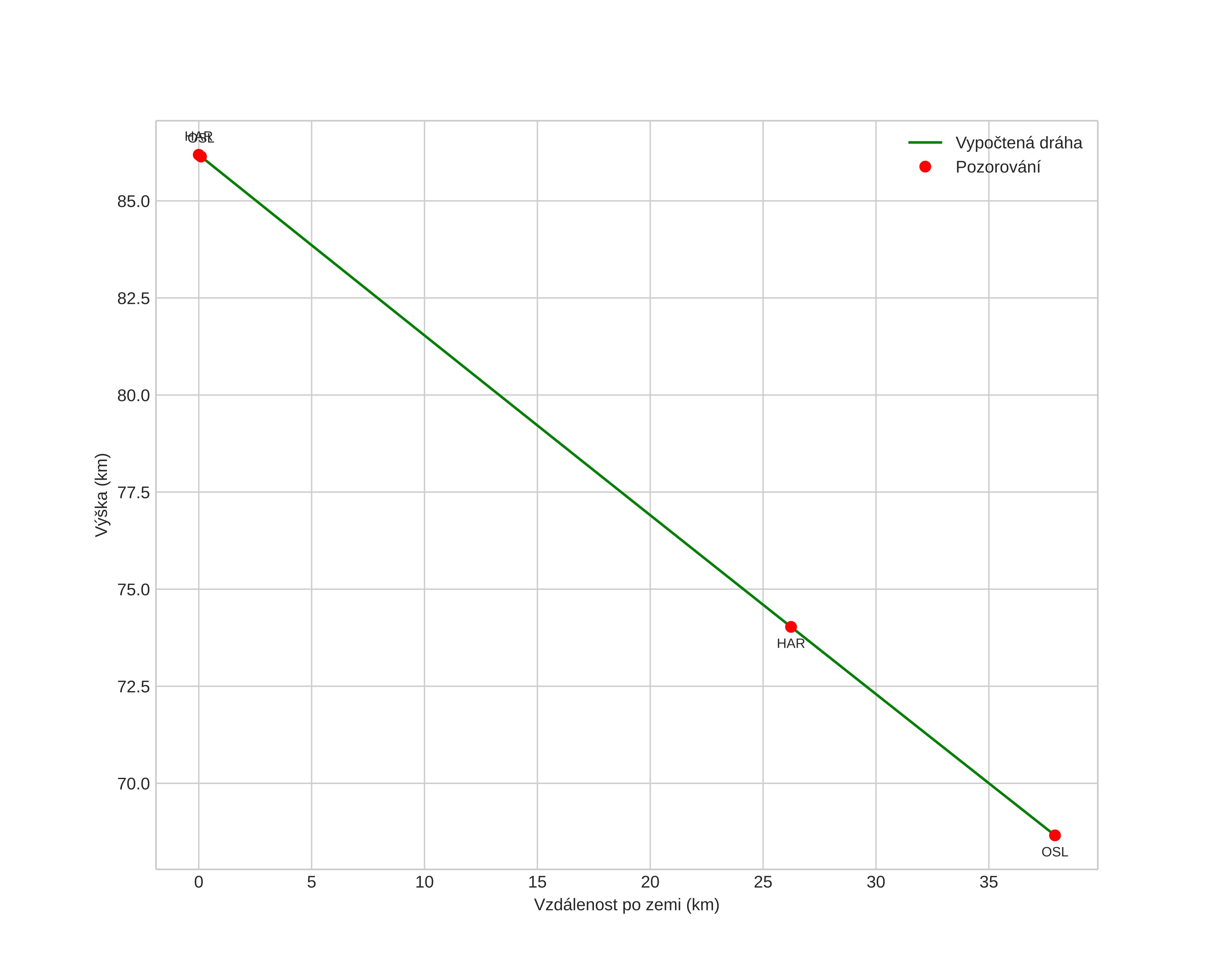
height profile
Atmosférická dráha meteoru:
Počáteční výška: 86,2 km
Konečná výška: 68,7 km
Počáteční poloha: 61,385N 5,856E
Konečná poloha: 61,351N 5,148E
Směr: 264,6°
Sklon: 24,8°
Vstupní rychlost: 33,3 km/s
Rektascenze radiantu: 04:04 (61,0°)
Deklinace radiantu: 22,3°
Meteorický roj: Severní Tauridy
Elementy dráhy meteoroidu:
Vzdálenost v periheliu: 0,332 AU
Excentricita: 0,900
Sklon dráhy: 2,0°
Délka vzestupného uzlu: 231,8°
Argument perihelia: 293,8°
Střední anomálie: 353,6°
Epocha: 2015 NOV 14 18:35:02
orbit

Neinteraktivní graf | Interaktivní graf

position vs time
speed & acceleration