🇳🇴 🇬🇧 🇩🇪 🇨🇿 🇫🇮

Meteor, poloha: Odda 2015-11-15 02:08:34 UTC

Soubor KML  |  InteraktivnĂ­ mapa

Mapa zobrazuje dráhy meteoru. Světlejší čáry ukazují směry od pozorovacích stanic při objevení se meteoru a tmavší čáry, kde byl naposledy viděn. Modrá šipka značí viditelnou dráhu meteoru.

static map
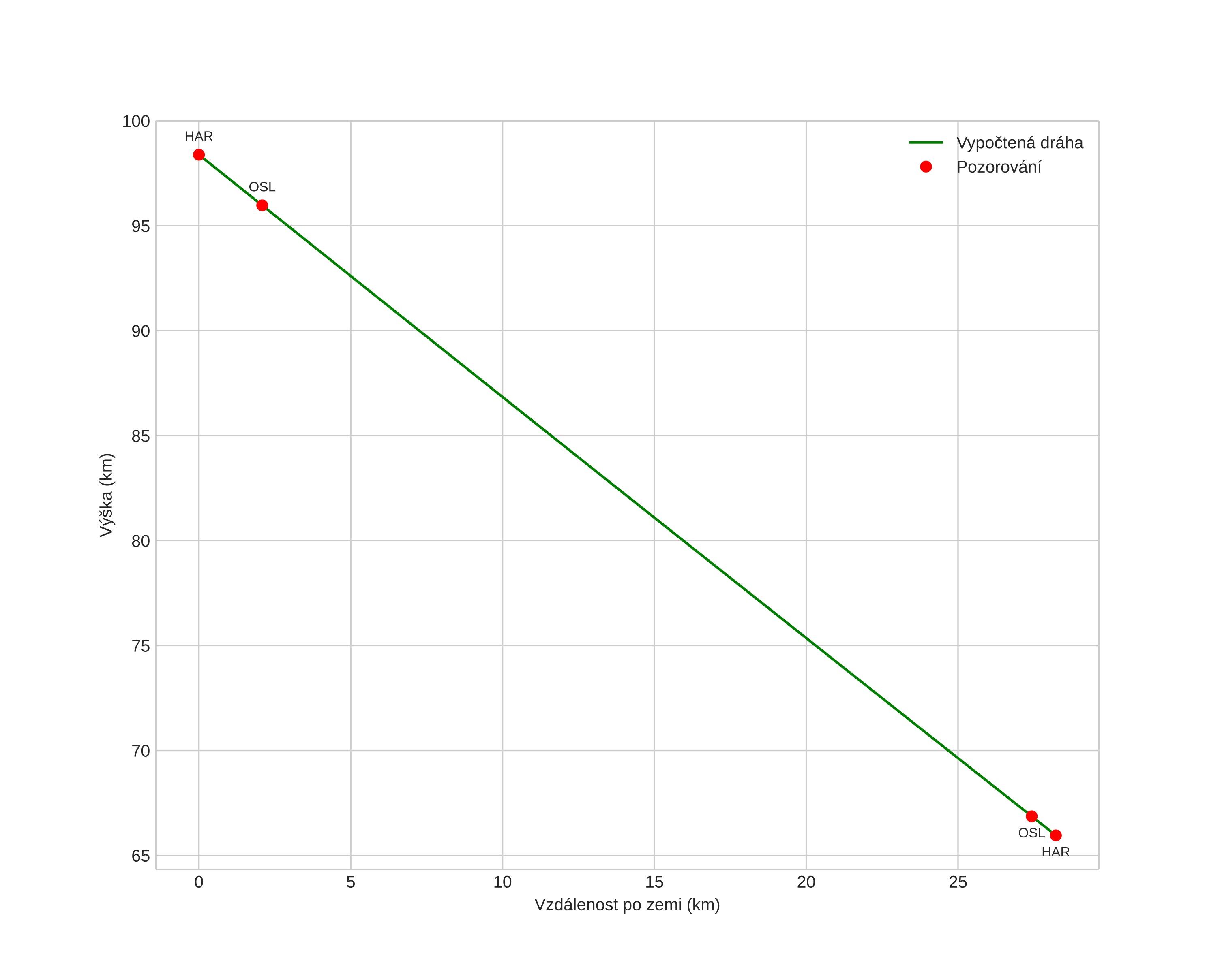
height profile
Atmosférická dráha meteoru:
Počáteční výška: 98,4 km
Konečná výška: 66,0 km
Počáteční poloha: 59,746N 6,365E
Konečná poloha: 59,925N 6,724E
Směr: 45,1°
Sklon: 48,9°
VstupnĂ­ rychlost: 29,8 km/s
Rektascenze radiantu: 04:00 (60,2°)
Deklinace radiantu: 23,0°
MeteorickĂ˝ roj: SevernĂ­ Tauridy
Elementy dráhy meteoroidu:
Vzdálenost v periheliu: 0,378 AU
Excentricita: 0,830
Sklon dráhy: 2,6°
Délka vzestupného uzlu: 232,1°
Argument perihelia: 291,3°
Střední anomálie: 347,3°
Epocha: 2015 NOV 15 02:08:34
orbit plot

NeinteraktivnĂ­ graf | InteraktivnĂ­ graf

position vs time
speed and acceleration