🇳🇴 🇬🇧 🇩🇪 🇨🇿 🇫🇮

Meteor über West-Terschelling 2015-11-15 18:24:19 UTC

Kristiansand – 1
Kristiansand – 1
Solobservatoriet – 4
Solobservatoriet – 4
Voksenlia – 1
Voksenlia – 1

KML-Datei  | Interaktive Karte

map

Die Karte zeigt die Peilungen für den Meteor. Die helleren Linien zeigen die Richtungen von den Beobachtungsorten beim Erscheinen des Meteors, und die dunkleren Linien, wo er zuletzt gesehen wurde. Der blaue Pfeil zeigt die sichtbare Bahn des Meteors.

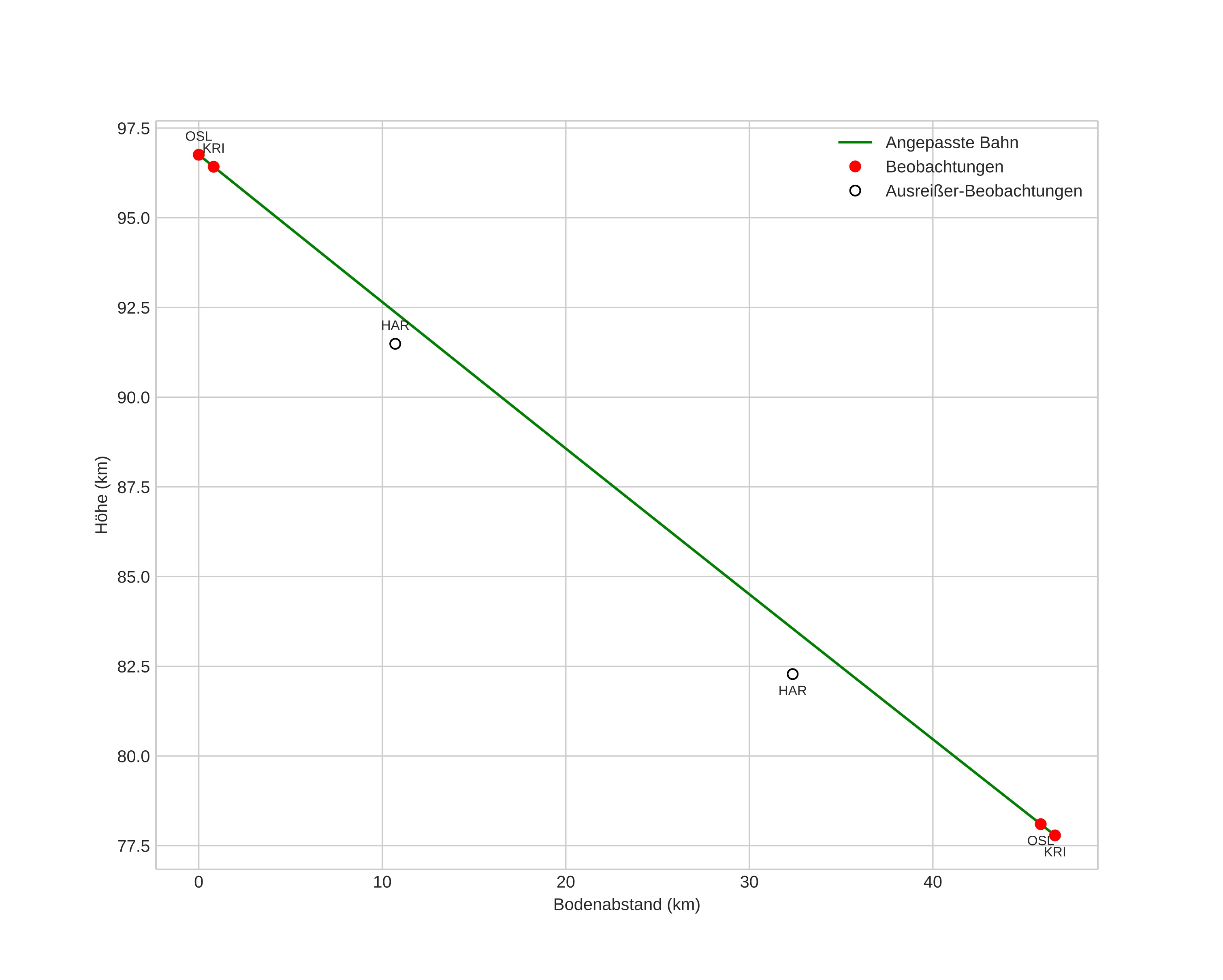
height profile
Atmosphärische Bahn des Meteors:
Anfangshöhe: 96,8 km
Endhöhe: 77,8 km
Startposition: 55,957N 4,798E
Endposition: 55,863N 4,069E
Richtung: 257,3°
Neigungswinkel: 22,2°
Eintrittsgeschwindigkeit: 34,2 km/s
Rektaszension des Radianten: 04:14 (63,7°)
Deklination des Radianten: 23,6°
Meteorstrom: Nördliche Tauriden
Bahnelemente des Meteoroiden:
Periheldistanz: 0,301 AU
Exzentrizität: 0,908
Inklination: 3,3°
Länge des aufsteigenden Knotens: 232,8°
Argument des Perihels: 297,5°
Mittlere Anomalie: 353,5°
Epoche: 2015 NOV 15 18:24:19
orbit

Nicht-interaktives Diagramm | Interaktives Diagramm

position vs time
speed & acceleration