🇳🇴 🇬🇧 🇩🇪 🇨🇿 🇫🇮

Meteor, poloha: Smögen 2015-11-20 22:19:02 UTC

Soubor KML  |  InteraktivnĂ­ mapa

Mapa zobrazuje dráhy meteoru. Světlejší čáry ukazují směry od pozorovacích stanic při objevení se meteoru a tmavší čáry, kde byl naposledy viděn. Modrá šipka značí viditelnou dráhu meteoru.

static map
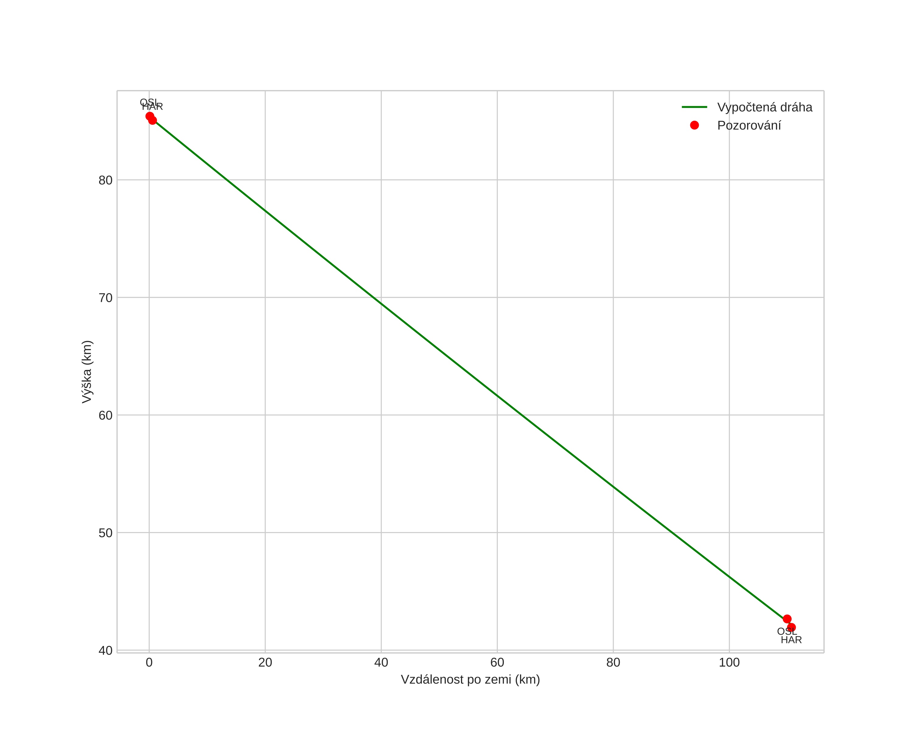
height profile
Atmosférická dráha meteoru:
Počáteční výška: 85,4 km
Konečná výška: 42,1 km
Počáteční poloha: 57,476N 10,748E
Konečná poloha: 58,471N 10,652E
Směr: 357,1°
Sklon: 21,3°
VstupnĂ­ rychlost: 123,2 km/s
Rektascenze radiantu: 03:09 (47,5°)
Deklinace radiantu: -11,4°
MeteorickĂ˝ roj: sporadickĂ˝
Elementy dráhy meteoroidu:
Vzdálenost v periheliu: 0,601 AU
Excentricita: 11,912
Sklon dráhy: 43,2°
Délka vzestupného uzlu: 58,1°
Argument perihelia: 54,9°
Střední anomálie: -785,1°
Epocha: 2015 NOV 20 22:19:02
orbit plot

NeinteraktivnĂ­ graf | InteraktivnĂ­ graf

position vs time
speed and acceleration