🇳🇴 🇬🇧 🇩🇪 🇨🇿 🇫🇮

Meteor, poloha: Vestbygd 2015-11-22 10:15:02 UTC

Soubor KML  |  InteraktivnĂ­ mapa

Mapa zobrazuje dráhy meteoru. Světlejší čáry ukazují směry od pozorovacích stanic při objevení se meteoru a tmavší čáry, kde byl naposledy viděn. Modrá šipka značí viditelnou dráhu meteoru.

static map
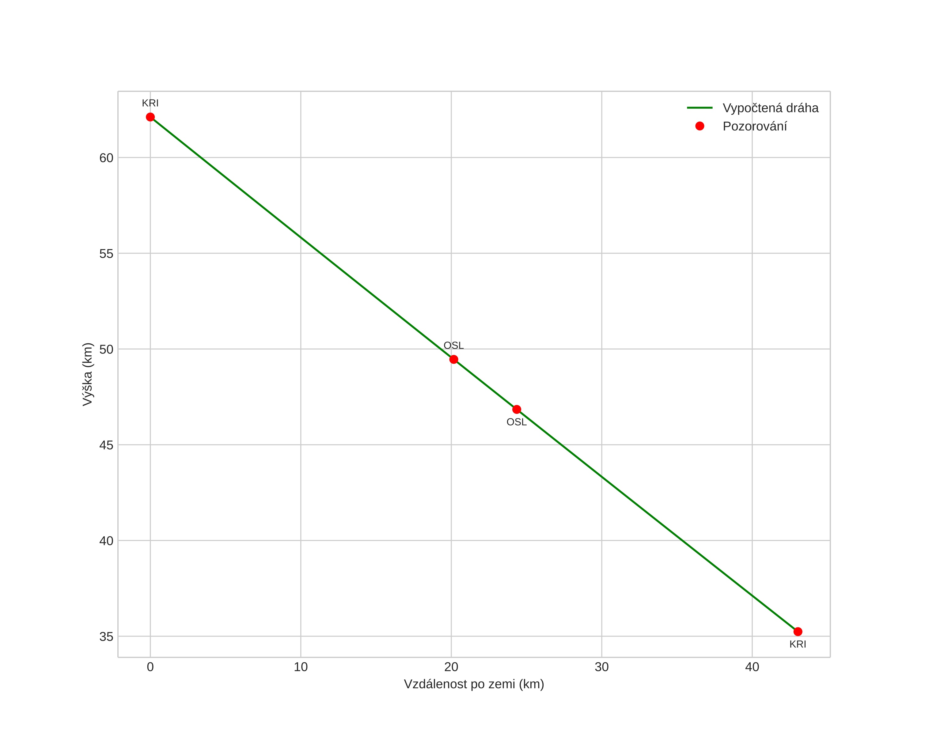
height profile
Atmosférická dráha meteoru:
Počáteční výška: 62,1 km
Konečná výška: 35,2 km
Počáteční poloha: 58,201N 6,952E
Konečná poloha: 57,910N 6,470E
Směr: 221,5°
Sklon: 32,0°
VstupnĂ­ rychlost: 15,9 km/s
Rektascenze radiantu: 23:01 (345,3°)
Deklinace radiantu: 43,1°
MeteorickĂ˝ roj: sporadickĂ˝
Elementy dráhy meteoroidu:
Vzdálenost v periheliu: 0,961 AU
Excentricita: 0,583
Sklon dráhy: 12,1°
Délka vzestupného uzlu: 239,6°
Argument perihelia: 202,2°
Střední anomálie: 355,2°
Epocha: 2015 NOV 22 10:15:02
orbit plot

NeinteraktivnĂ­ graf | InteraktivnĂ­ graf

position vs time
speed and acceleration

Voksenlia (OSL) cam1


gnomonic
Videa
• Gnomonická
• Gnomonická se souřadnicemi
• Původní
• Původní se souřadnicemi
Obrázky
• Gnomonická
• Gnomonická se souřadnicemi
• Gnomonická s popisky
• Původní
• Původní se souřadnicemi
• Původní s maskou
Textové soubory
• Detekce
• Pozorování
• Souřadnice
• Protokol
Jasnost