🇳🇴 🇬🇧 🇩🇪 🇨🇿 🇫🇮

Meteor, poloha: Skaerbaek 2015-11-22 17:27:04 UTC

Soubor KML  |  InteraktivnĂ­ mapa

Mapa zobrazuje dráhy meteoru. Světlejší čáry ukazují směry od pozorovacích stanic při objevení se meteoru a tmavší čáry, kde byl naposledy viděn. Modrá šipka značí viditelnou dráhu meteoru.

static map
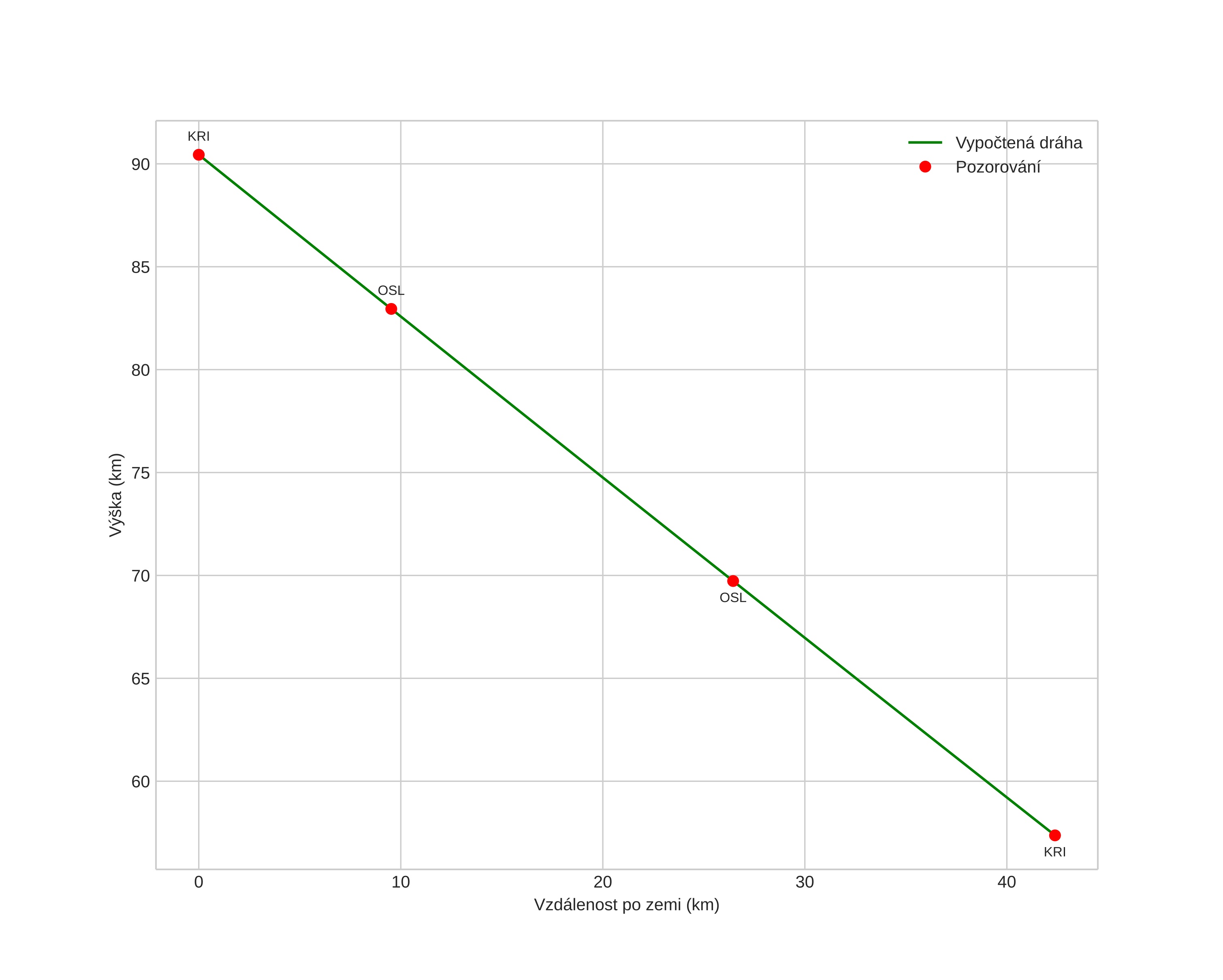
height profile
Atmosférická dráha meteoru:
Počáteční výška: 90,4 km
Konečná výška: 57,4 km
Počáteční poloha: 55,537N 8,650E
Konečná poloha: 55,170N 8,836E
Směr: 163,8°
Sklon: 37,9°
VstupnĂ­ rychlost: 44,2 km/s
Rektascenze radiantu: 12:39 (189,8°)
Deklinace radiantu: 68,4°
MeteorickĂ˝ roj: sporadickĂ˝
Elementy dráhy meteoroidu:
Vzdálenost v periheliu: 0,974 AU
Excentricita: 0,707
Sklon dráhy: 75,1°
Délka vzestupného uzlu: 239,9°
Argument perihelia: 194,6°
Střední anomálie: 358,2°
Epocha: 2015 NOV 22 17:27:04
orbit plot

NeinteraktivnĂ­ graf | InteraktivnĂ­ graf

position vs time
speed and acceleration