🇳🇴 🇬🇧 🇩🇪 🇨🇿 🇫🇮

Meteor, poloha: Risør 2015-11-22 17:34:55 UTC

Soubor KML  |  InteraktivnĂ­ mapa

Mapa zobrazuje dráhy meteoru. Světlejší čáry ukazují směry od pozorovacích stanic při objevení se meteoru a tmavší čáry, kde byl naposledy viděn. Modrá šipka značí viditelnou dráhu meteoru.

static map
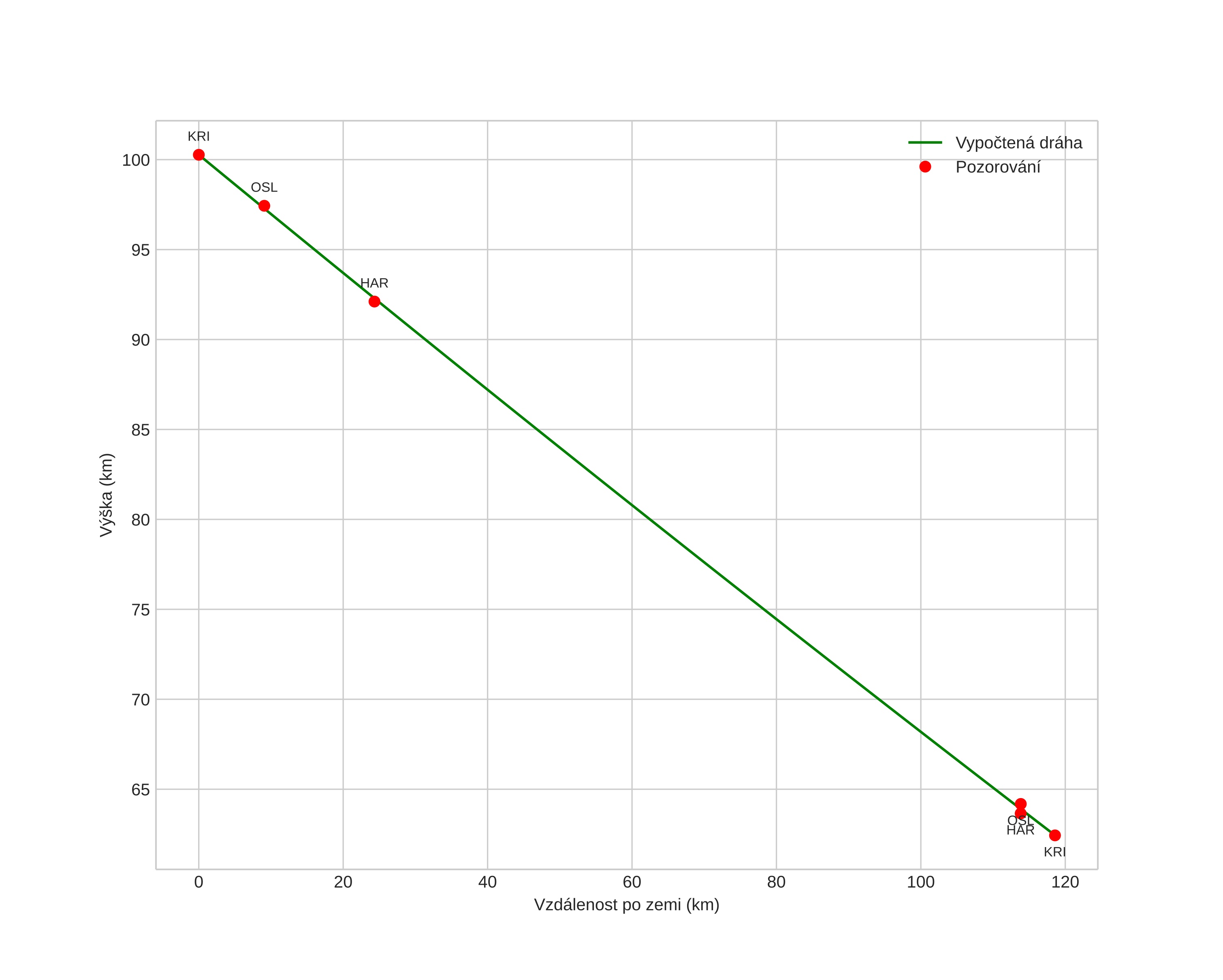
height profile
Atmosférická dráha meteoru:
Počáteční výška: 100,3 km
Konečná výška: 62,4 km
Počáteční poloha: 58,255N 11,303E
Konečná poloha: 58,114N 9,298E
Směr: 263,3°
Sklon: 17,7°
VstupnĂ­ rychlost: 27,3 km/s
Rektascenze radiantu: 04:17 (64,3°)
Deklinace radiantu: 15,4°
MeteorickĂ˝ roj: SevernĂ­ Tauridy
Elementy dráhy meteoroidu:
Vzdálenost v periheliu: 0,483 AU
Excentricita: 0,784
Sklon dráhy: 5,1°
Délka vzestupného uzlu: 59,9°
Argument perihelia: 99,3°
Střední anomálie: 346,9°
Epocha: 2015 NOV 22 17:34:55
orbit plot

NeinteraktivnĂ­ graf | InteraktivnĂ­ graf

position vs time
speed and acceleration