🇳🇴 🇬🇧 🇩🇪 🇨🇿 🇫🇮

Meteor Skreian yllä 2015-11-28 16:50:17 UTC

KML-tiedosto  |  Interaktiivinen kartta

Kartta näyttää meteorin suuntahavainnot. Vaaleammat viivat näyttävät suunnat havaintoasemilta meteorin ilmestyessä, ja tummemmat viivat näyttävät, missä se viimeksi nähtiin. Sininen nuoli näyttää meteorin näkyvän lennon.

static map
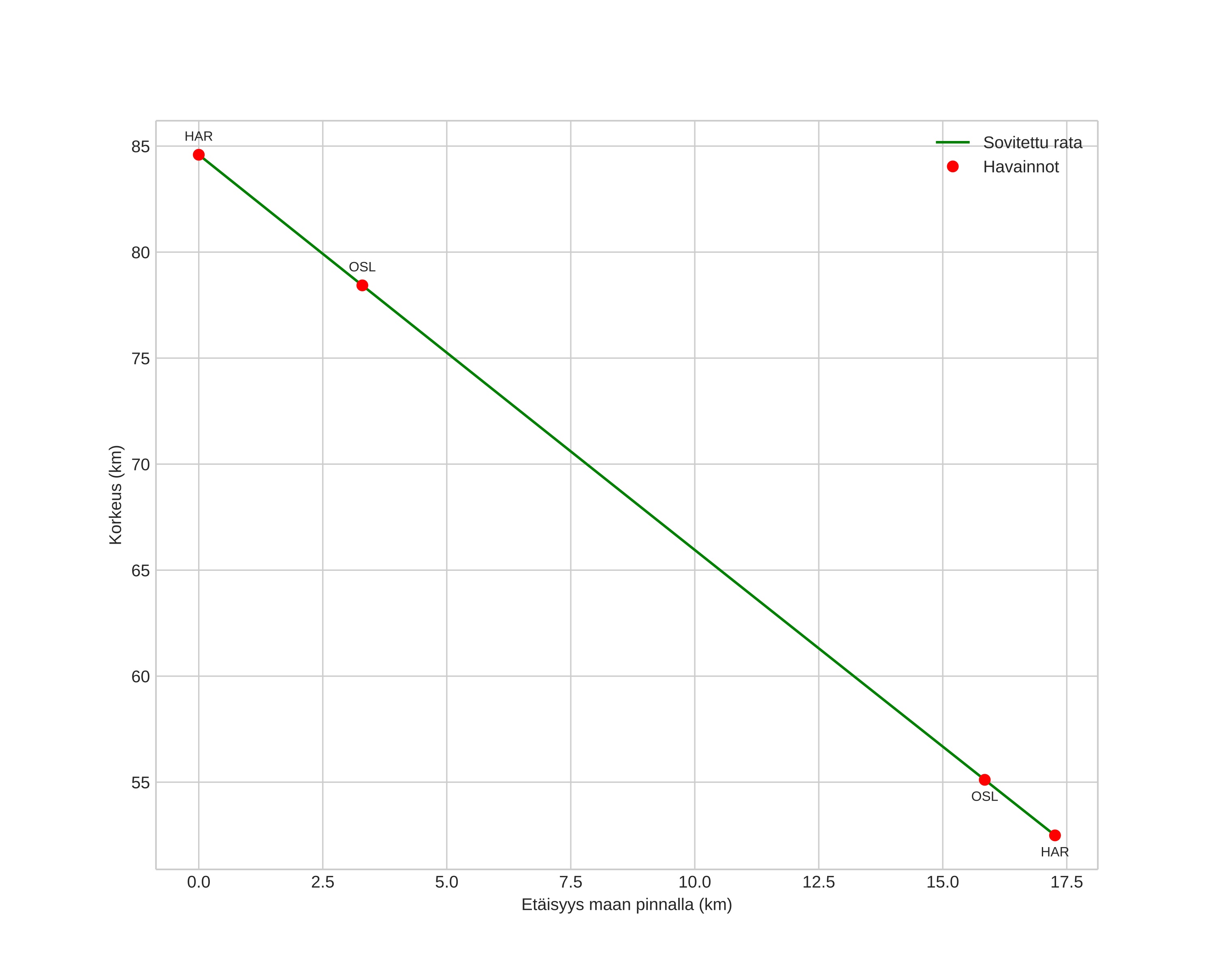
height profile
Meteorin ilmakehärata:
Alkukorkeus: 84,6 km
Loppukorkeus: 52,5 km
Alkupiste: 60,595N 10,609E
Loppupiste: 60,588N 10,925E
Suunta: 92,5°
Kallistuskulma: 61,7°
Tulonopeus: 20,1 km/s
Radiantin R,A,: 18:31 (277,8°)
Radiantin Dekl,: 48,8°
Meteoriparvi: Sporadinen
Meteoroidin rataelementit:
Perihelietäisyys: 0,973 AU
Eksentrisyys: 0,564
Inklinaatio: 25,5°
Nousevan solmun pituus: 245,9°
Perihelin argumentti: 164,3°
Keskianomalia: 3,7°
Epookki: 2015 NOV 28 16:50:17
orbit plot

Ei-interaktiivinen kuvaaja | Interaktiivinen kuvaaja

position vs time
speed and acceleration