🇳🇴 🇬🇧 🇩🇪 🇨🇿 🇫🇮

Meteor, poloha: Fossbergom 2015-12-01 05:19:21 UTC

Soubor KML  |  InteraktivnĂ­ mapa

Mapa zobrazuje dráhy meteoru. Světlejší čáry ukazují směry od pozorovacích stanic při objevení se meteoru a tmavší čáry, kde byl naposledy viděn. Modrá šipka značí viditelnou dráhu meteoru.

static map
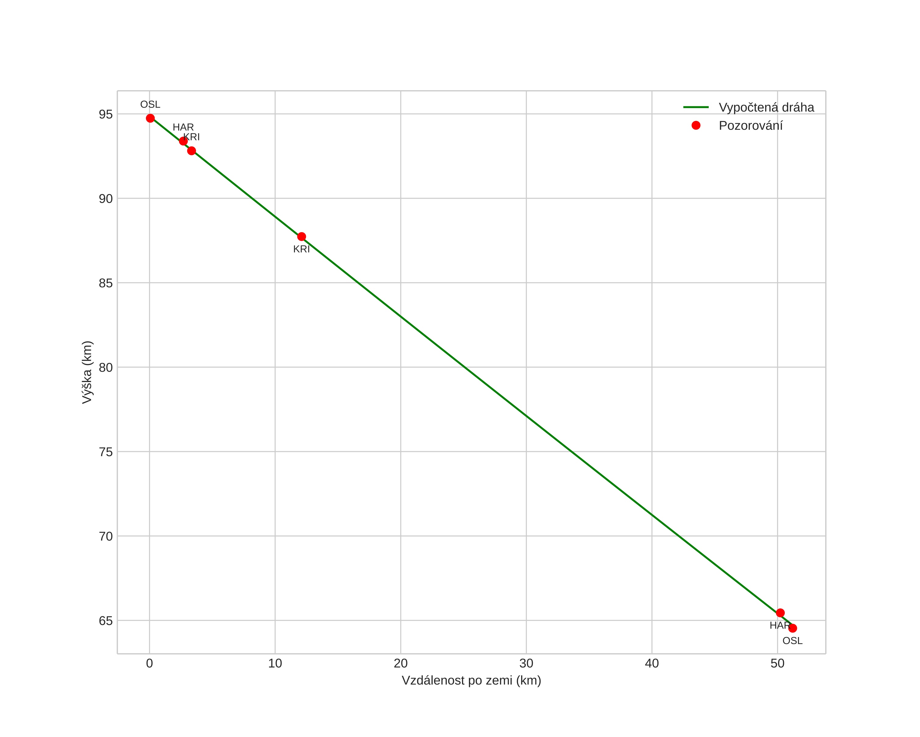
height profile
Atmosférická dráha meteoru:
Počáteční výška: 94,9 km
Konečná výška: 64,7 km
Počáteční poloha: 61,620N 7,822E
Konečná poloha: 61,520N 8,768E
Směr: 102,0°
Sklon: 30,5°
VstupnĂ­ rychlost: 29,6 km/s
Rektascenze radiantu: 04:44 (71,2°)
Deklinace radiantu: 29,8°
MeteorickĂ˝ roj: SevernĂ­ Tauridy
Elementy dráhy meteoroidu:
Vzdálenost v periheliu: 0,459 AU
Excentricita: 0,866
Sklon dráhy: 7,3°
Délka vzestupného uzlu: 248,4°
Argument perihelia: 278,7°
Střední anomálie: 353,5°
Epocha: 2015 DEC 01 05:19:21
orbit plot

NeinteraktivnĂ­ graf | InteraktivnĂ­ graf

position vs time
speed and acceleration