🇳🇴 🇬🇧 🇩🇪 🇨🇿 🇫🇮

Meteor, poloha: Kongsberg 2015-12-02 22:29:56 UTC

Soubor KML  |  InteraktivnĂ­ mapa

Mapa zobrazuje dráhy meteoru. Světlejší čáry ukazují směry od pozorovacích stanic při objevení se meteoru a tmavší čáry, kde byl naposledy viděn. Modrá šipka značí viditelnou dráhu meteoru.

static map
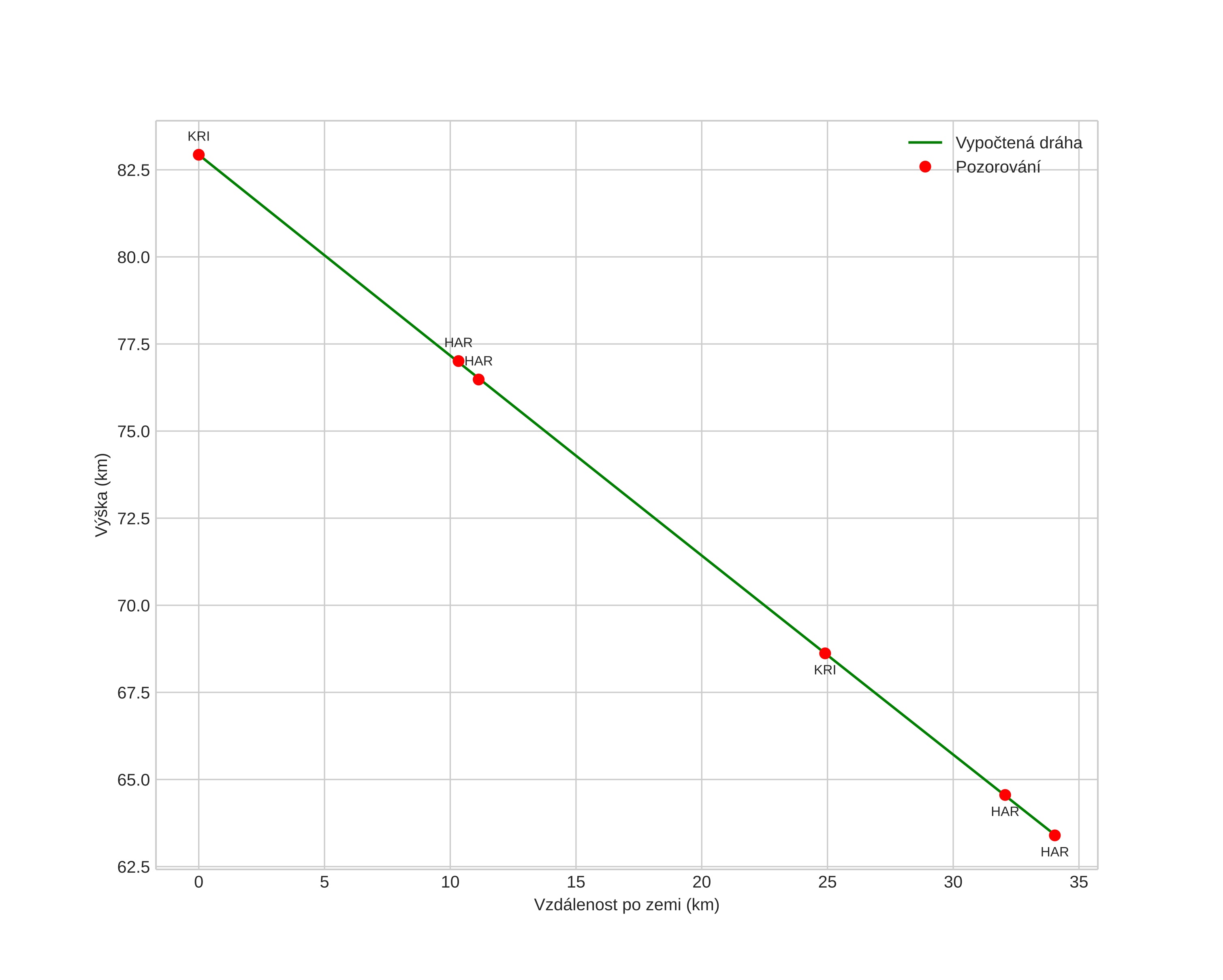
height profile
Atmosférická dráha meteoru:
Počáteční výška: 82,9 km
Konečná výška: 63,4 km
Počáteční poloha: 59,574N 8,955E
Konečná poloha: 59,493N 9,538E
Směr: 105,1°
Sklon: 29,8°
VstupnĂ­ rychlost: 13,9 km/s
Rektascenze radiantu: 21:27 (321,9°)
Deklinace radiantu: 19,1°
MeteorickĂ˝ roj: sporadickĂ˝
Elementy dráhy meteoroidu:
Vzdálenost v periheliu: 0,985 AU
Excentricita: 0,587
Sklon dráhy: 7,0°
Délka vzestupného uzlu: 250,2°
Argument perihelia: 176,4°
Střední anomálie: 0,8°
Epocha: 2015 DEC 02 22:29:56
orbit plot

NeinteraktivnĂ­ graf | InteraktivnĂ­ graf

position vs time
speed and acceleration