🇳🇴 🇬🇧 🇩🇪 🇨🇿 🇫🇮

Meteor, poloha: Hovden 2015-12-04 17:42:17 UTC

Soubor KML  |  InteraktivnĂ­ mapa

Mapa zobrazuje dráhy meteoru. Světlejší čáry ukazují směry od pozorovacích stanic při objevení se meteoru a tmavší čáry, kde byl naposledy viděn. Modrá šipka značí viditelnou dráhu meteoru.

static map
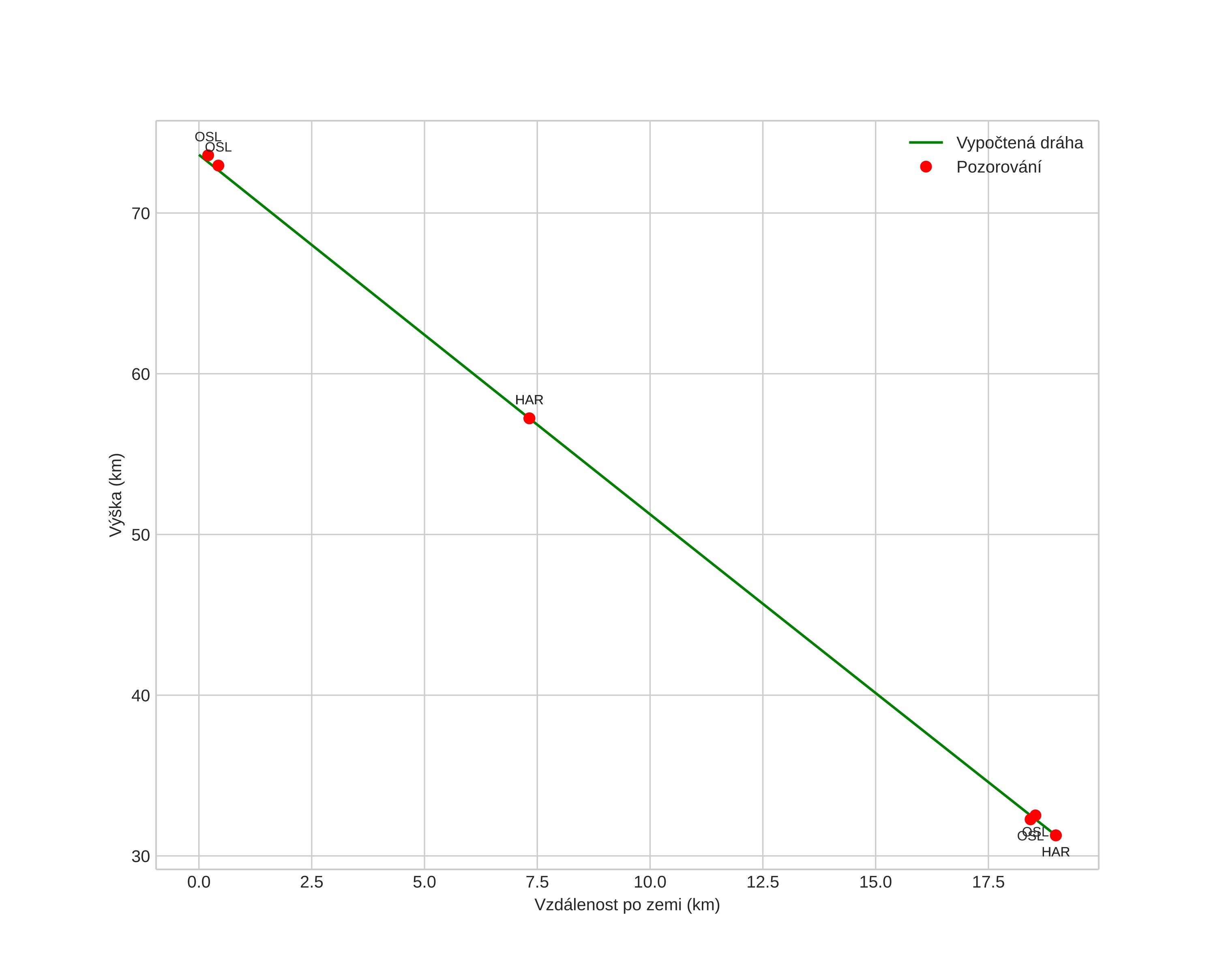
height profile
Atmosférická dráha meteoru:
Počáteční výška: 73,6 km
Konečná výška: 31,3 km
Počáteční poloha: 59,322N 7,467E
Konečná poloha: 59,327N 7,133E
Směr: 271,7°
Sklon: 65,8°
VstupnĂ­ rychlost: 19,3 km/s
Rektascenze radiantu: 01:55 (28,8°)
Deklinace radiantu: 49,8°
MeteorickĂ˝ roj: sporadickĂ˝
Elementy dráhy meteoroidu:
Vzdálenost v periheliu: 0,876 AU
Excentricita: 0,702
Sklon dráhy: 14,1°
Délka vzestupného uzlu: 252,0°
Argument perihelia: 223,1°
Střední anomálie: 354,2°
Epocha: 2015 DEC 04 17:42:17
orbit plot

NeinteraktivnĂ­ graf | InteraktivnĂ­ graf

position vs time
speed and acceleration