🇳🇴 🇬🇧 🇩🇪 🇨🇿 🇫🇮

Meteor, poloha: Eivindvik 2015-12-06 17:13:40 UTC

Soubor KML  |  InteraktivnĂ­ mapa

Mapa zobrazuje dráhy meteoru. Světlejší čáry ukazují směry od pozorovacích stanic při objevení se meteoru a tmavší čáry, kde byl naposledy viděn. Modrá šipka značí viditelnou dráhu meteoru.

static map
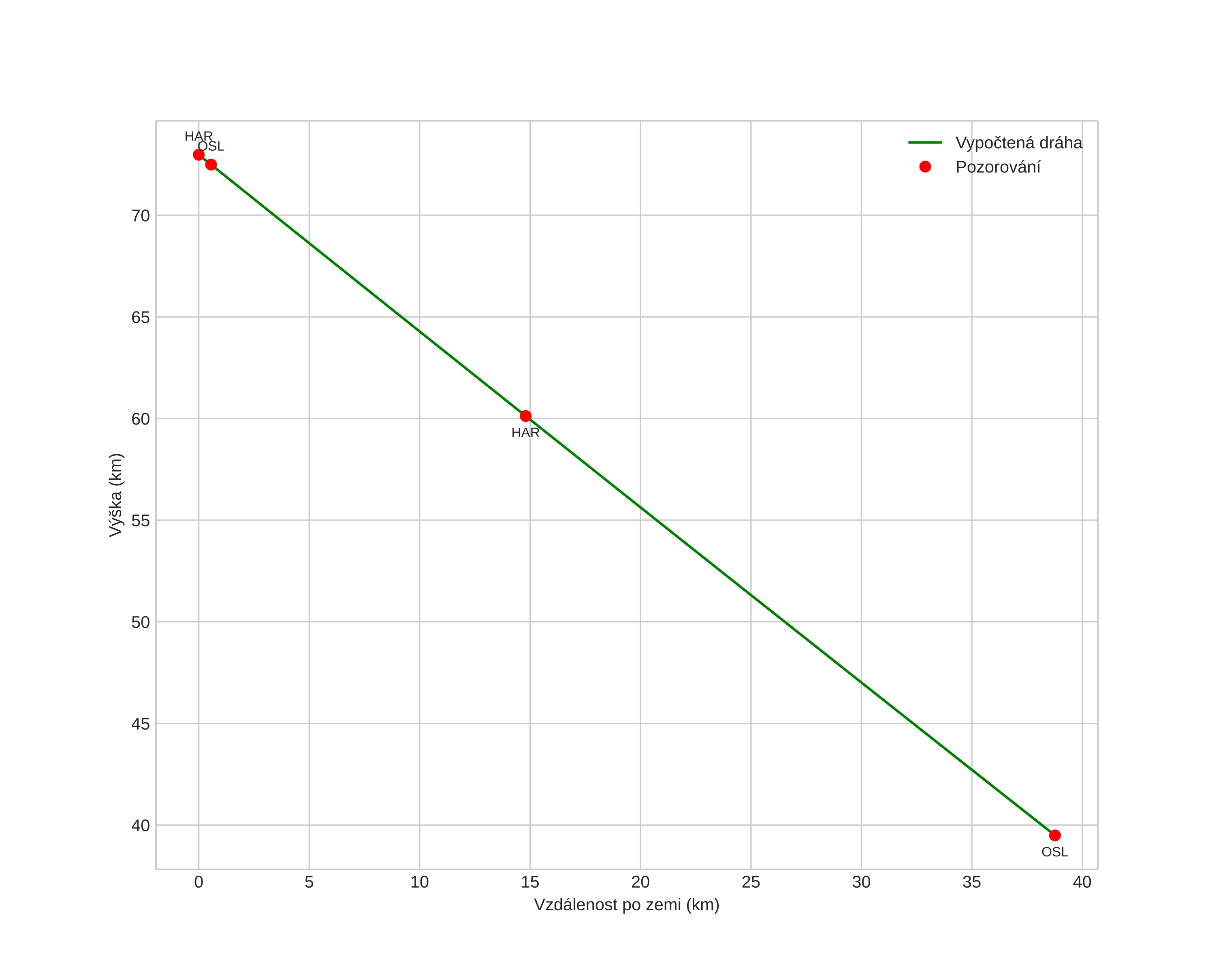
height profile
Atmosférická dráha meteoru:
Počáteční výška: 73,0 km
Konečná výška: 39,5 km
Počáteční poloha: 60,934N 5,710E
Konečná poloha: 60,884N 5,000E
Směr: 262,0°
Sklon: 40,8°
VstupnĂ­ rychlost: 19,8 km/s
Rektascenze radiantu: 03:42 (55,7°)
Deklinace radiantu: 34,8°
MeteorickĂ˝ roj: sporadickĂ˝
Elementy dráhy meteoroidu:
Vzdálenost v periheliu: 0,764 AU
Excentricita: 0,646
Sklon dráhy: 7,0°
Délka vzestupného uzlu: 254,0°
Argument perihelia: 244,7°
Střední anomálie: 347,3°
Epocha: 2015 DEC 06 17:13:40
orbit plot

NeinteraktivnĂ­ graf | InteraktivnĂ­ graf

position vs time
speed and acceleration