🇳🇴 🇬🇧 🇩🇪 🇨🇿 🇫🇮

Meteor, poloha: Fjerritslev 2015-12-06 19:38:27 UTC

Soubor KML  |  InteraktivnĂ­ mapa

Mapa zobrazuje dráhy meteoru. Světlejší čáry ukazují směry od pozorovacích stanic při objevení se meteoru a tmavší čáry, kde byl naposledy viděn. Modrá šipka značí viditelnou dráhu meteoru.

static map
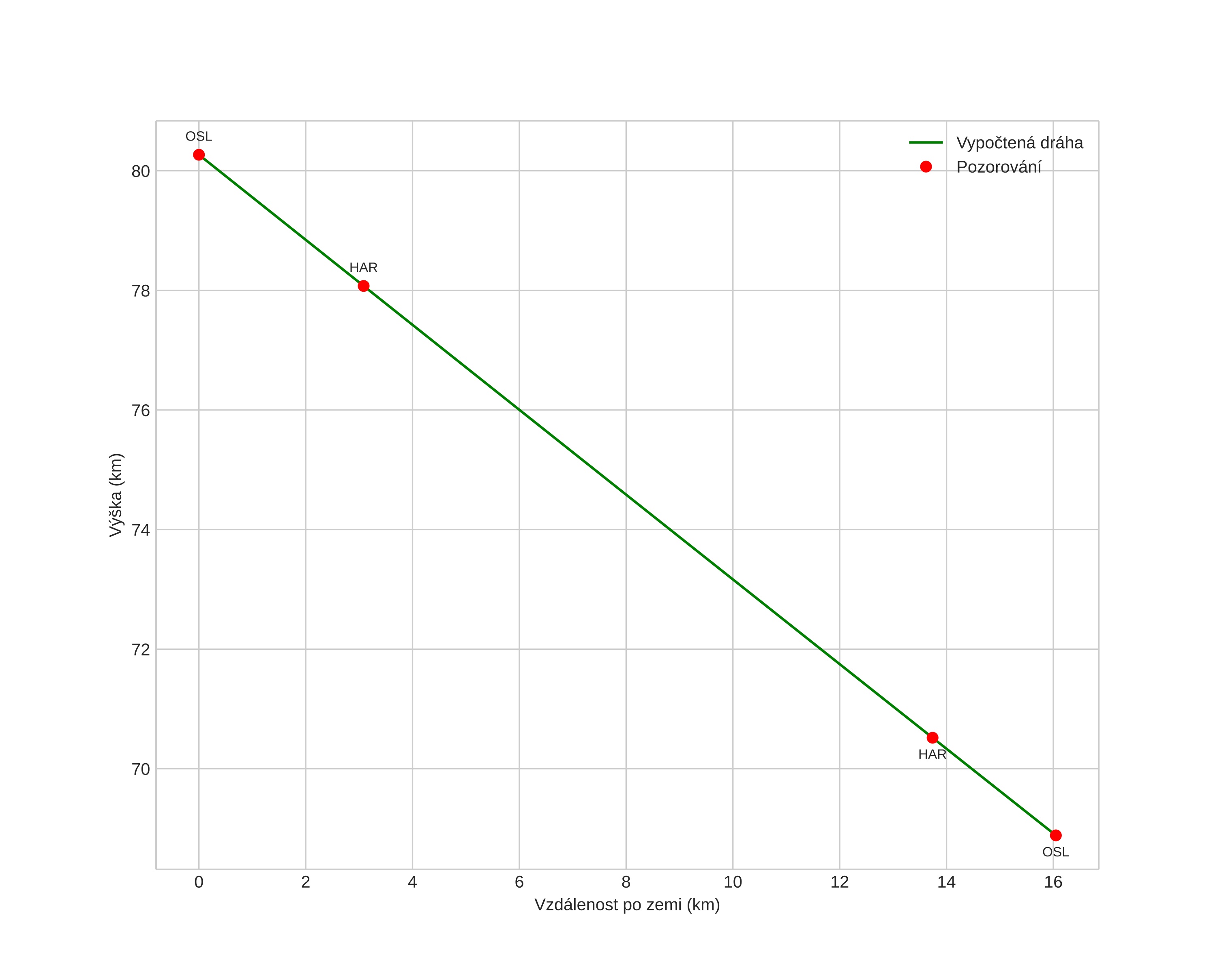
height profile
Atmosférická dráha meteoru:
Počáteční výška: 80,3 km
Konečná výška: 68,9 km
Počáteční poloha: 57,339N 9,186E
Konečná poloha: 57,412N 8,955E
Směr: 300,4°
Sklon: 35,4°
VstupnĂ­ rychlost: 24,4 km/s
Rektascenze radiantu: 04:27 (66,8°)
Deklinace radiantu: 12,4°
MeteorickĂ˝ roj: sporadickĂ˝
Elementy dráhy meteoroidu:
Vzdálenost v periheliu: 0,659 AU
Excentricita: 0,812
Sklon dráhy: 6,0°
Délka vzestupného uzlu: 74,2°
Argument perihelia: 74,9°
Střední anomálie: 353,9°
Epocha: 2015 DEC 06 19:38:27
orbit plot

NeinteraktivnĂ­ graf | InteraktivnĂ­ graf

position vs time
speed and acceleration