🇳🇴 🇬🇧 🇩🇪 🇨🇿 🇫🇮

Meteor, poloha: Rødberg 2015-12-06 20:23:02 UTC

Soubor KML  |  InteraktivnĂ­ mapa

Mapa zobrazuje dráhy meteoru. Světlejší čáry ukazují směry od pozorovacích stanic při objevení se meteoru a tmavší čáry, kde byl naposledy viděn. Modrá šipka značí viditelnou dráhu meteoru.

static map
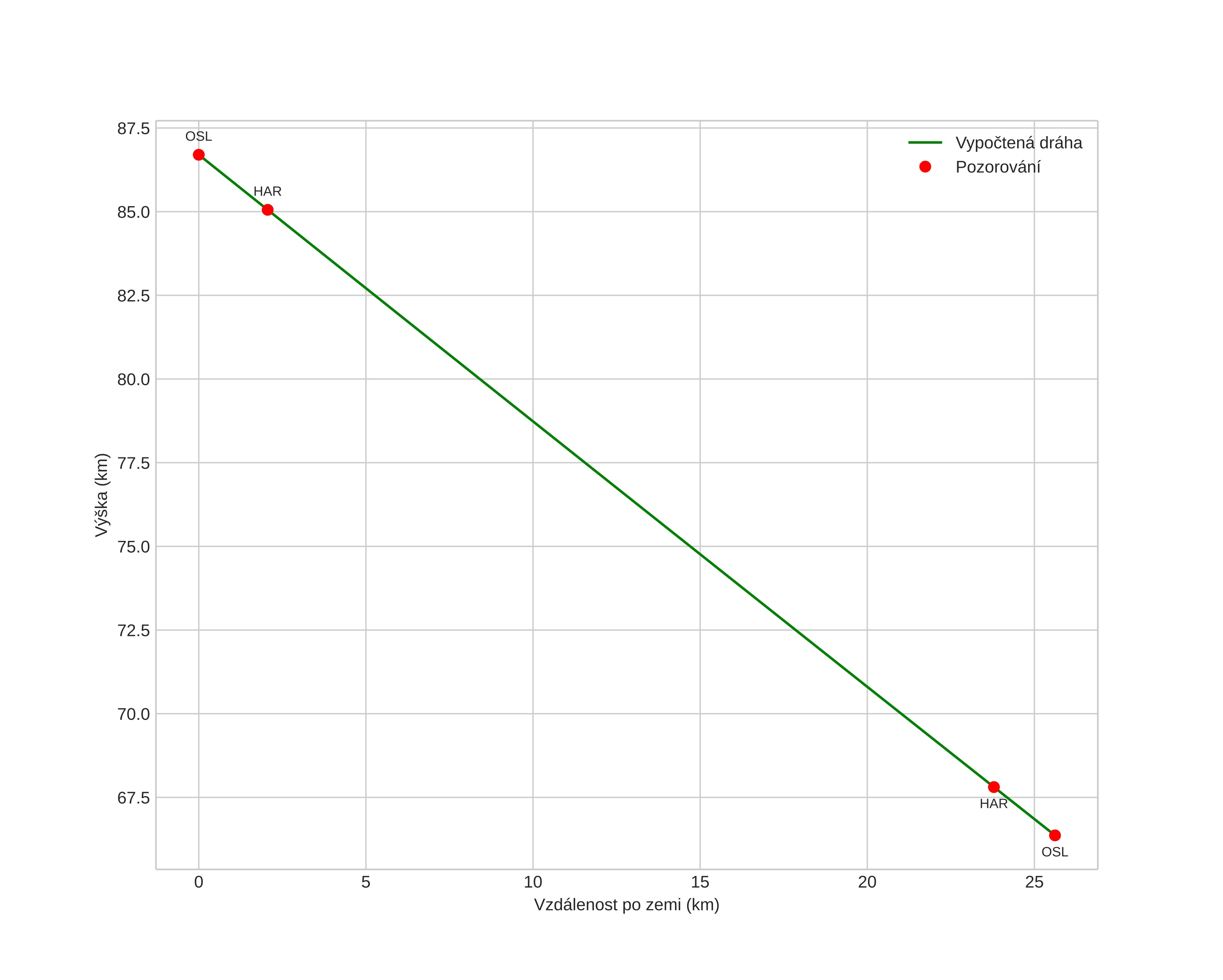
height profile
Atmosférická dráha meteoru:
Počáteční výška: 86,7 km
Konečná výška: 66,4 km
Počáteční poloha: 60,296N 9,615E
Konečná poloha: 60,263N 9,155E
Směr: 262,0°
Sklon: 38,4°
VstupnĂ­ rychlost: 27,5 km/s
Rektascenze radiantu: 07:06 (106,6°)
Deklinace radiantu: 34,7°
MeteorickĂ˝ roj: sporadickĂ˝
Elementy dráhy meteoroidu:
Vzdálenost v periheliu: 0,222 AU
Excentricita: 0,754
Sklon dráhy: 16,0°
Délka vzestupného uzlu: 254,2°
Argument perihelia: 323,4°
Střední anomálie: 305,7°
Epocha: 2015 DEC 06 20:23:02
orbit plot

NeinteraktivnĂ­ graf | InteraktivnĂ­ graf

position vs time
speed and acceleration