🇳🇴 🇬🇧 🇩🇪 🇨🇿 🇫🇮

Meteor, poloha: Lampeland 2015-12-07 01:40:43 UTC

Soubor KML  |  InteraktivnĂ­ mapa

Mapa zobrazuje dráhy meteoru. Světlejší čáry ukazují směry od pozorovacích stanic při objevení se meteoru a tmavší čáry, kde byl naposledy viděn. Modrá šipka značí viditelnou dráhu meteoru.

static map
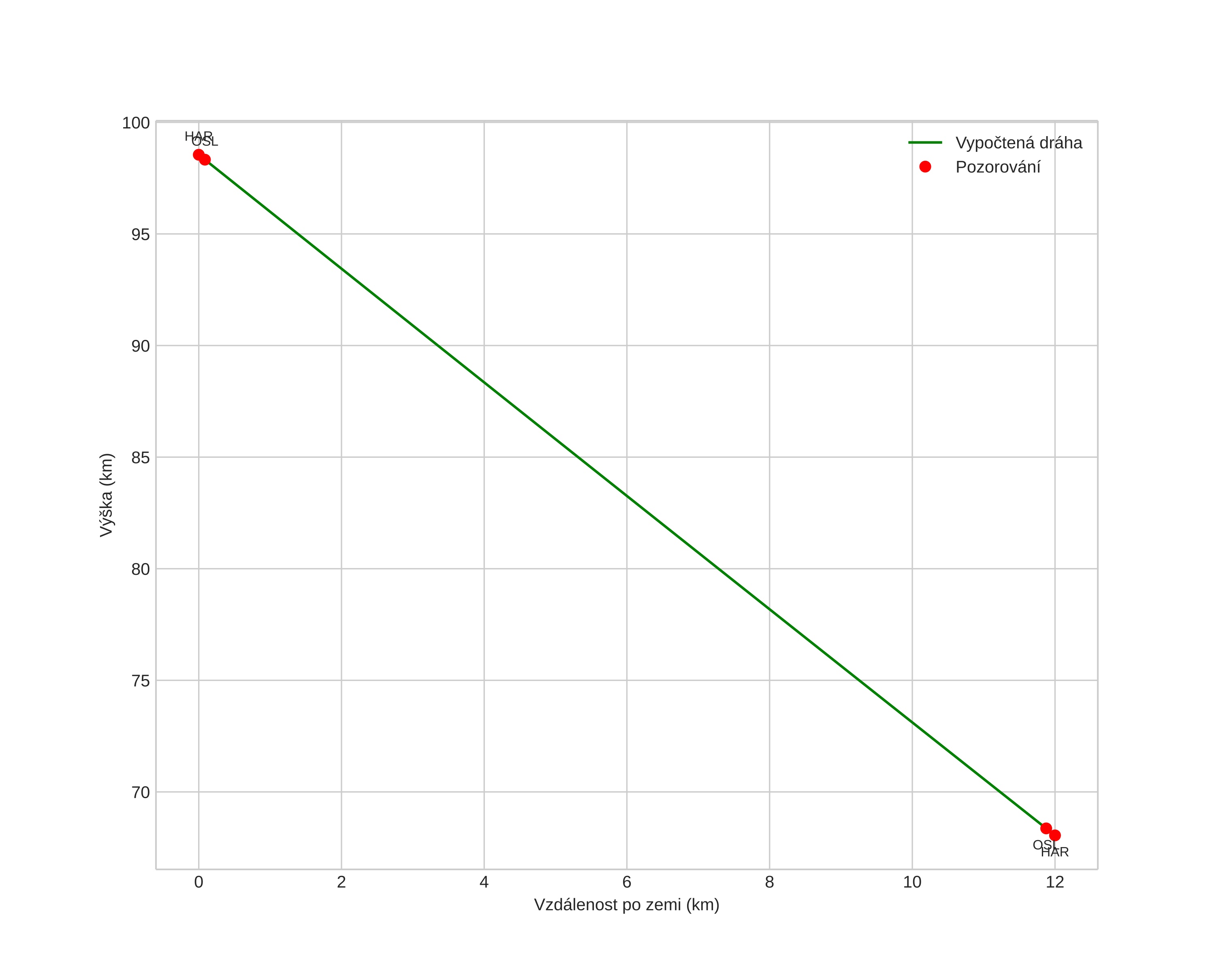
height profile
Atmosférická dráha meteoru:
Počáteční výška: 98,5 km
Konečná výška: 68,1 km
Počáteční poloha: 59,979N 9,497E
Konečná poloha: 59,873N 9,454E
Směr: 191,5°
Sklon: 68,5°
VstupnĂ­ rychlost: 38,5 km/s
Rektascenze radiantu: 08:57 (134,4°)
Deklinace radiantu: 80,7°
MeteorickĂ˝ roj: sporadickĂ˝
Elementy dráhy meteoroidu:
Vzdálenost v periheliu: 0,820 AU
Excentricita: 0,940
Sklon dráhy: 56,1°
Délka vzestupného uzlu: 254,4°
Argument perihelia: 229,2°
Střední anomálie: 359,4°
Epocha: 2015 DEC 07 01:40:43
orbit plot

NeinteraktivnĂ­ graf | InteraktivnĂ­ graf

position vs time
speed and acceleration