🇳🇴 🇬🇧 🇩🇪 🇨🇿 🇫🇮

Meteor, poloha: Bygland 2015-12-07 07:02:19 UTC

Soubor KML  |  InteraktivnĂ­ mapa

Mapa zobrazuje dráhy meteoru. Světlejší čáry ukazují směry od pozorovacích stanic při objevení se meteoru a tmavší čáry, kde byl naposledy viděn. Modrá šipka značí viditelnou dráhu meteoru.

static map
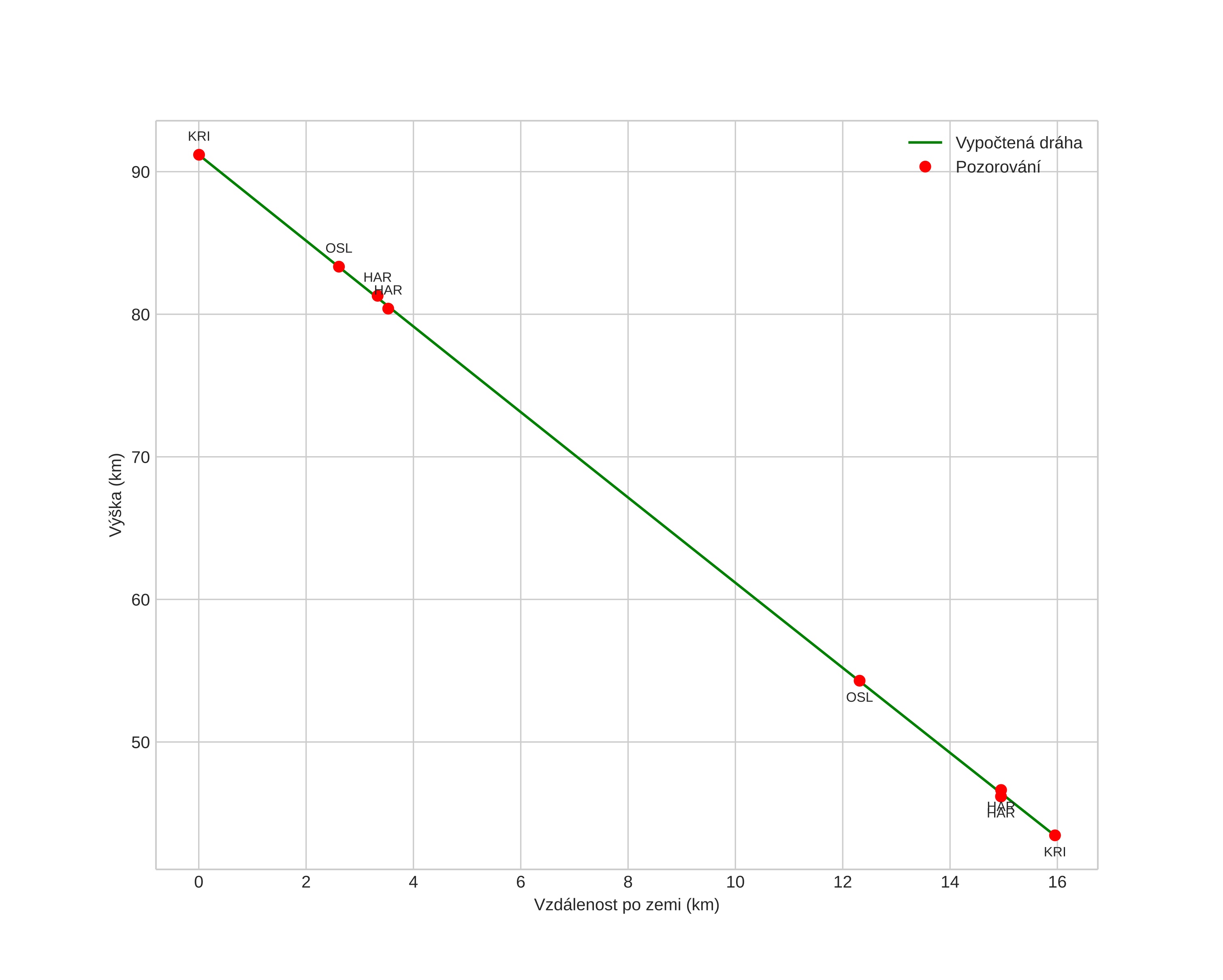
height profile
Atmosférická dráha meteoru:
Počáteční výška: 91,2 km
Konečná výška: 43,5 km
Počáteční poloha: 58,941N 8,084E
Konečná poloha: 58,868N 7,846E
Směr: 239,3°
Sklon: 71,5°
VstupnĂ­ rychlost: 32,0 km/s
Rektascenze radiantu: 15:09 (227,5°)
Deklinace radiantu: 63,8°
MeteorickĂ˝ roj: sporadickĂ˝
Elementy dráhy meteoroidu:
Vzdálenost v periheliu: 0,985 AU
Excentricita: 0,401
Sklon dráhy: 53,4°
Délka vzestupného uzlu: 254,6°
Argument perihelia: 177,4°
Střední anomálie: 1,0°
Epocha: 2015 DEC 07 07:02:19
orbit plot

NeinteraktivnĂ­ graf | InteraktivnĂ­ graf

position vs time
speed and acceleration