🇳🇴 🇬🇧 🇩🇪 🇨🇿 🇫🇮

Meteor, poloha: Valle 2015-12-07 17:11:17 UTC

Soubor KML  |  InteraktivnĂ­ mapa

Mapa zobrazuje dráhy meteoru. Světlejší čáry ukazují směry od pozorovacích stanic při objevení se meteoru a tmavší čáry, kde byl naposledy viděn. Modrá šipka značí viditelnou dráhu meteoru.

static map
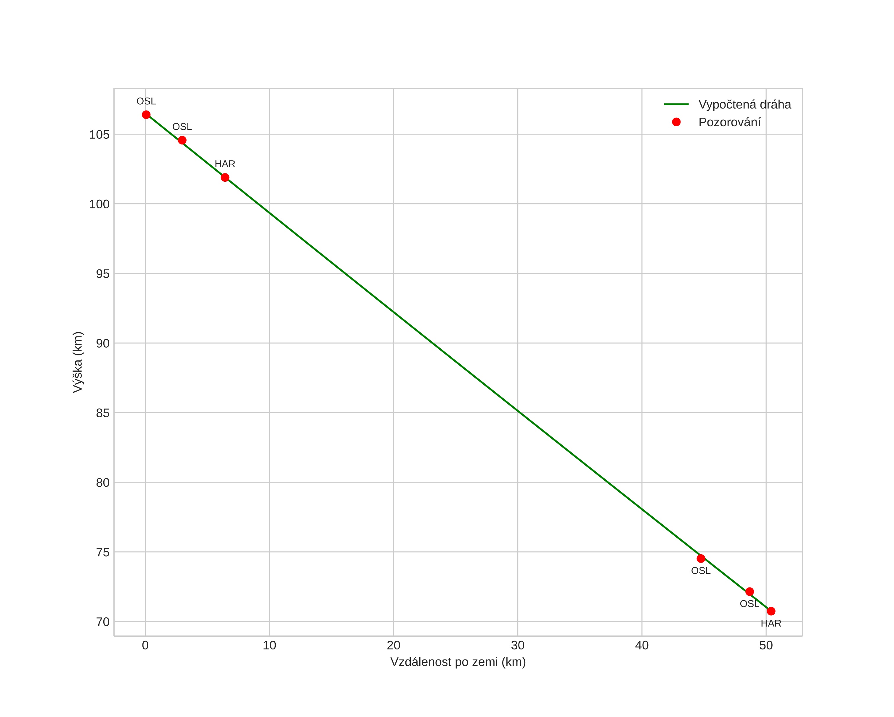
height profile
Atmosférická dráha meteoru:
Počáteční výška: 106,5 km
Konečná výška: 70,7 km
Počáteční poloha: 59,426N 6,764E
Konečná poloha: 59,105N 7,390E
Směr: 134,9°
Sklon: 35,4°
VstupnĂ­ rychlost: 51,5 km/s
Rektascenze radiantu: 15:23 (231,0°)
Deklinace radiantu: 51,6°
MeteorickĂ˝ roj: sporadickĂ˝
Elementy dráhy meteoroidu:
Vzdálenost v periheliu: 0,943 AU
Excentricita: 1,642
Sklon dráhy: 74,3°
Délka vzestupného uzlu: 255,0°
Argument perihelia: 158,7°
Střední anomálie: 7,0°
Epocha: 2015 DEC 07 17:11:17
orbit plot

NeinteraktivnĂ­ graf | InteraktivnĂ­ graf

position vs time
speed and acceleration