🇳🇴 🇬🇧 🇩🇪 🇨🇿 🇫🇮

Meteor, poloha: Vigrestad 2015-12-10 17:52:52 UTC

Soubor KML  |  InteraktivnĂ­ mapa

Mapa zobrazuje dráhy meteoru. Světlejší čáry ukazují směry od pozorovacích stanic při objevení se meteoru a tmavší čáry, kde byl naposledy viděn. Modrá šipka značí viditelnou dráhu meteoru.

static map
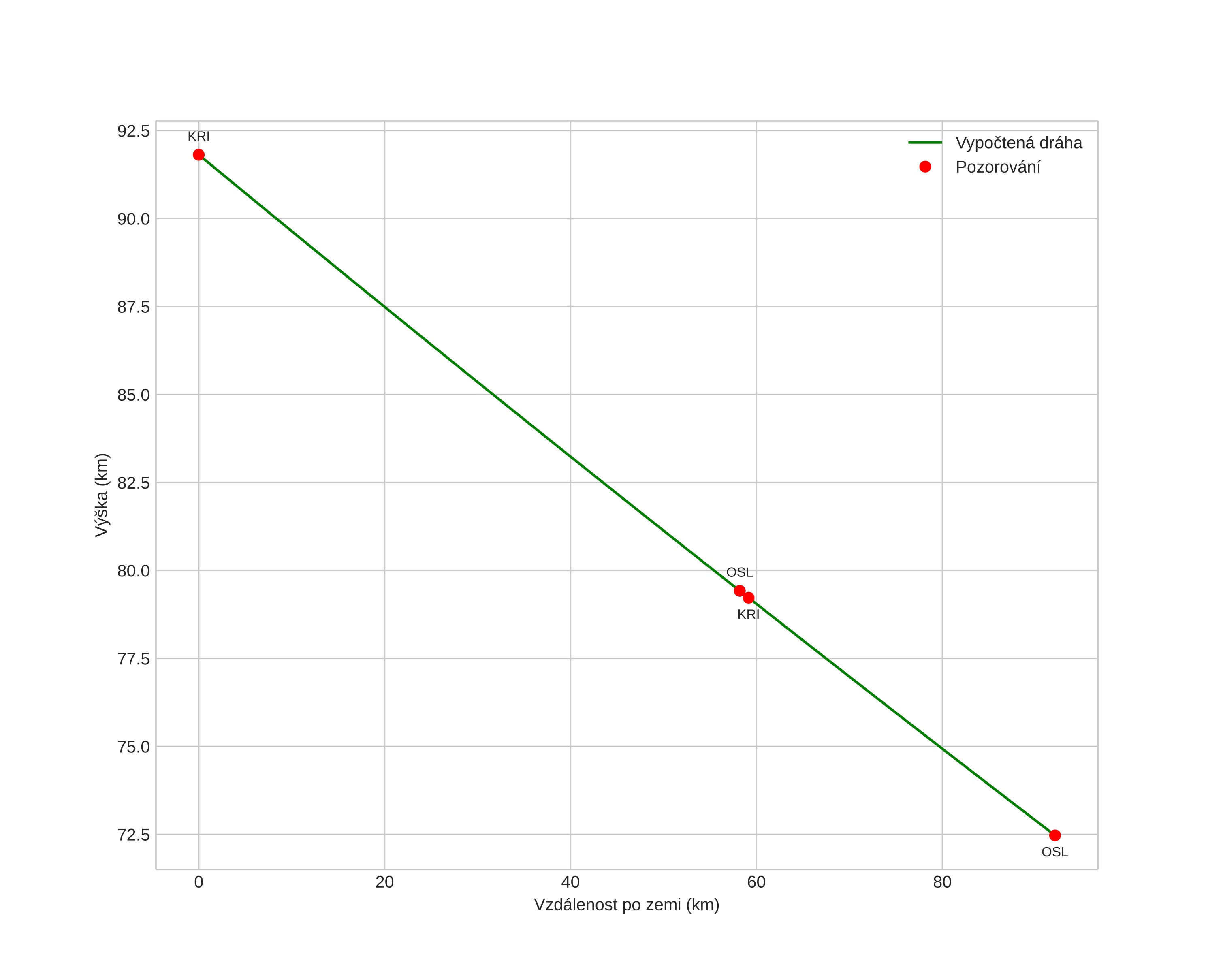
height profile
Atmosférická dráha meteoru:
Počáteční výška: 91,8 km
Konečná výška: 72,5 km
Počáteční poloha: 56,489N 5,068E
Konečná poloha: 56,279N 3,620E
Směr: 255,9°
Sklon: 11,8°
VstupnĂ­ rychlost: 32,2 km/s
Rektascenze radiantu: 05:56 (89,0°)
Deklinace radiantu: 15,3°
MeteorickĂ˝ roj: sporadickĂ˝
Elementy dráhy meteoroidu:
Vzdálenost v periheliu: 0,365 AU
Excentricita: 0,870
Sklon dráhy: 9,8°
Délka vzestupného uzlu: 78,1°
Argument perihelia: 110,6°
Střední anomálie: 351,4°
Epocha: 2015 DEC 10 17:52:52
orbit plot

NeinteraktivnĂ­ graf | InteraktivnĂ­ graf

position vs time
speed and acceleration