🇳🇴 🇬🇧 🇩🇪 🇨🇿 🇫🇮

Meteor Ølgodin yllä 2015-12-12 00:24:04 UTC

KML-tiedosto  |  Interaktiivinen kartta

Kartta näyttää meteorin suuntahavainnot. Vaaleammat viivat näyttävät suunnat havaintoasemilta meteorin ilmestyessä, ja tummemmat viivat näyttävät, missä se viimeksi nähtiin. Sininen nuoli näyttää meteorin näkyvän lennon.

static map
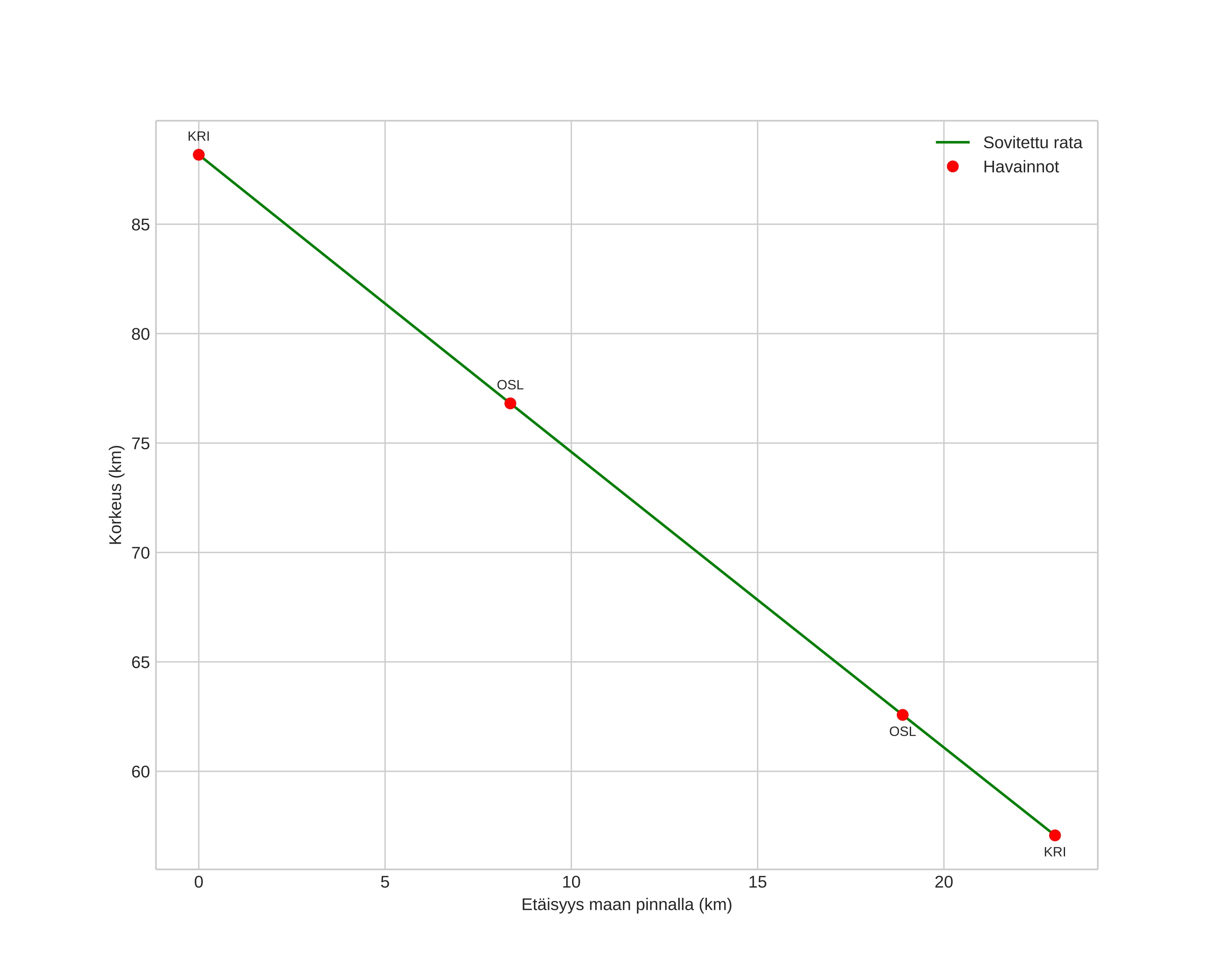
height profile
Meteorin ilmakehärata:
Alkukorkeus: 88,2 km
Loppukorkeus: 57,1 km
Alkupiste: 55,546N 8,635E
Loppupiste: 55,742N 8,750E
Suunta: 18,3°
Kallistuskulma: 53,5°
Tulonopeus: 25,9 km/s
Radiantin R,A,: 05:29 (82,3°)
Radiantin Dekl,: 18,1°
Meteoriparvi: Sporadinen
Meteoroidin rataelementit:
Perihelietäisyys: 0,522 AU
Eksentrisyys: 0,761
Inklinaatio: 4,2°
Nousevan solmun pituus: 79,5°
Perihelin argumentti: 95,0°
Keskianomalia: 346,4°
Epookki: 2015 DEC 12 00:24:04
orbit plot

Ei-interaktiivinen kuvaaja | Interaktiivinen kuvaaja

position vs time
speed and acceleration