🇳🇴 🇬🇧 🇩🇪 🇨🇿 🇫🇮

Meteor, poloha: Hovden 2015-12-12 03:32:27 UTC

Soubor KML  |  InteraktivnĂ­ mapa

Mapa zobrazuje dráhy meteoru. Světlejší čáry ukazují směry od pozorovacích stanic při objevení se meteoru a tmavší čáry, kde byl naposledy viděn. Modrá šipka značí viditelnou dráhu meteoru.

static map
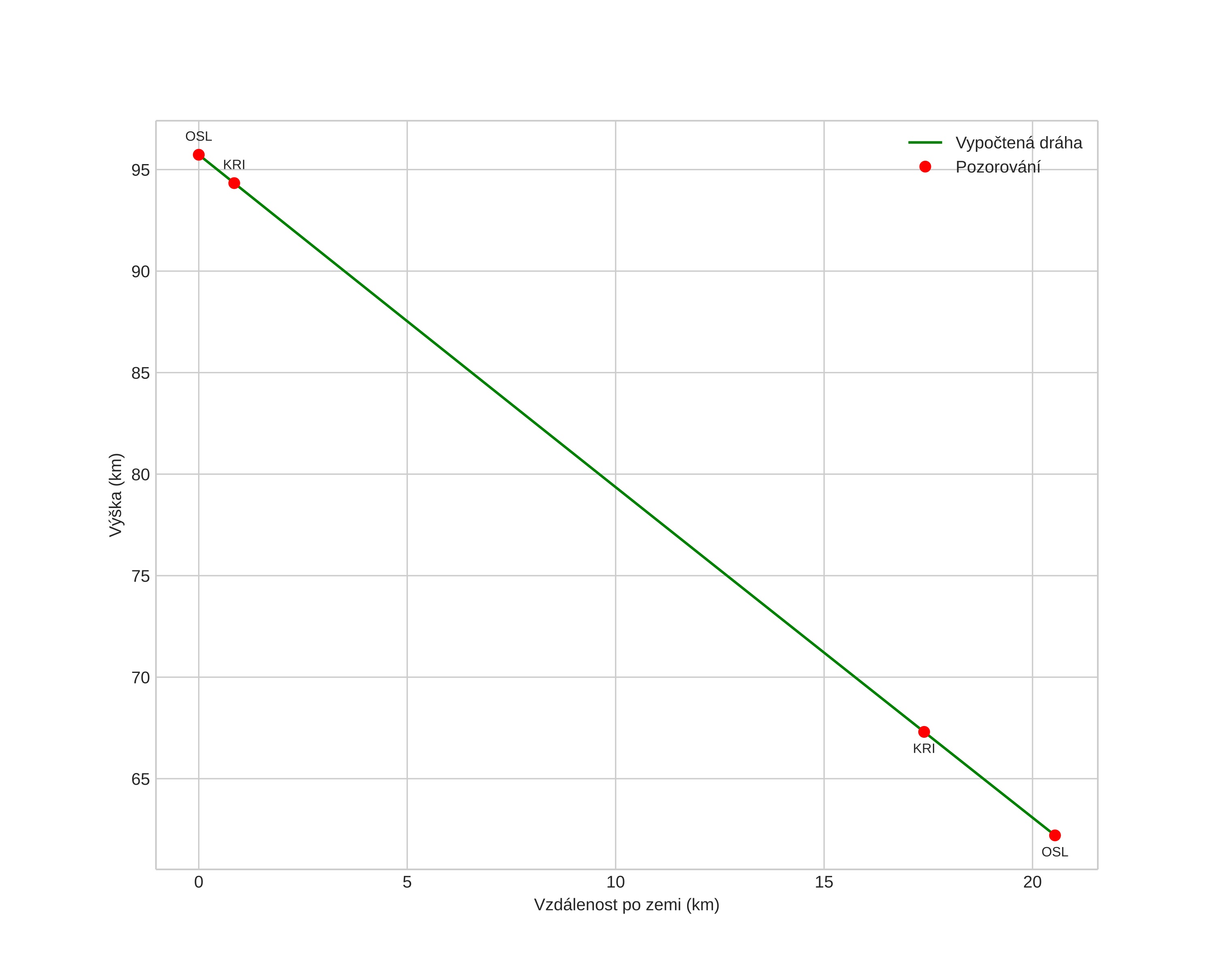
height profile
Atmosférická dráha meteoru:
Počáteční výška: 95,7 km
Konečná výška: 62,2 km
Počáteční poloha: 59,765N 6,906E
Konečná poloha: 59,889N 7,179E
Směr: 47,8°
Sklon: 58,5°
VstupnĂ­ rychlost: 32,8 km/s
Rektascenze radiantu: 07:25 (111,5°)
Deklinace radiantu: 33,0°
MeteorickĂ˝ roj: Geminidy
Elementy dráhy meteoroidu:
Vzdálenost v periheliu: 0,165 AU
Excentricita: 0,851
Sklon dráhy: 20,5°
Délka vzestupného uzlu: 259,5°
Argument perihelia: 324,1°
Střední anomálie: 326,0°
Epocha: 2015 DEC 12 03:32:27
orbit plot

NeinteraktivnĂ­ graf | InteraktivnĂ­ graf

position vs time
speed and acceleration