🇳🇴 🇬🇧 🇩🇪 🇨🇿 🇫🇮

Meteor, poloha: Årjäng 2015-12-13 21:26:53 UTC

Soubor KML  |  InteraktivnĂ­ mapa

Mapa zobrazuje dráhy meteoru. Světlejší čáry ukazují směry od pozorovacích stanic při objevení se meteoru a tmavší čáry, kde byl naposledy viděn. Modrá šipka značí viditelnou dráhu meteoru.

static map
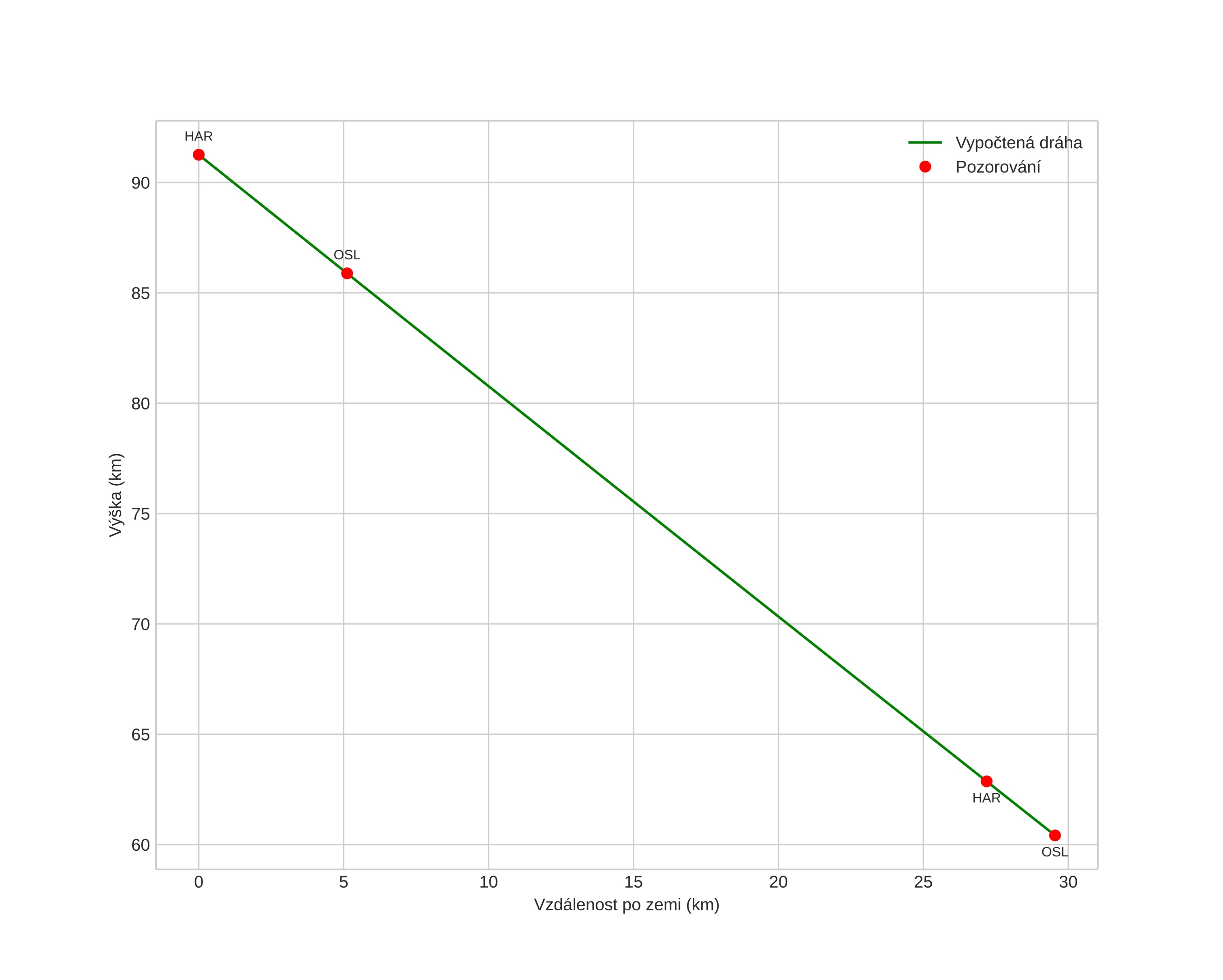
height profile
Atmosférická dráha meteoru:
Počáteční výška: 91,3 km
Konečná výška: 60,4 km
Počáteční poloha: 59,592N 12,635E
Konečná poloha: 59,626N 12,115E
Směr: 277,7°
Sklon: 46,3°
VstupnĂ­ rychlost: 28,4 km/s
Rektascenze radiantu: 07:36 (114,2°)
Deklinace radiantu: 33,9°
MeteorickĂ˝ roj: Geminidy
Elementy dráhy meteoroidu:
Vzdálenost v periheliu: 0,217 AU
Excentricita: 0,768
Sklon dráhy: 17,0°
Délka vzestupného uzlu: 261,3°
Argument perihelia: 322,6°
Střední anomálie: 309,9°
Epocha: 2015 DEC 13 21:26:53
orbit plot

NeinteraktivnĂ­ graf | InteraktivnĂ­ graf

position vs time
speed and acceleration