🇳🇴 🇬🇧 🇩🇪 🇨🇿 🇫🇮

Meteor, poloha: Grindsted 2015-12-13 22:47:13 UTC

Soubor KML  |  InteraktivnĂ­ mapa

Mapa zobrazuje dráhy meteoru. Světlejší čáry ukazují směry od pozorovacích stanic při objevení se meteoru a tmavší čáry, kde byl naposledy viděn. Modrá šipka značí viditelnou dráhu meteoru.

static map
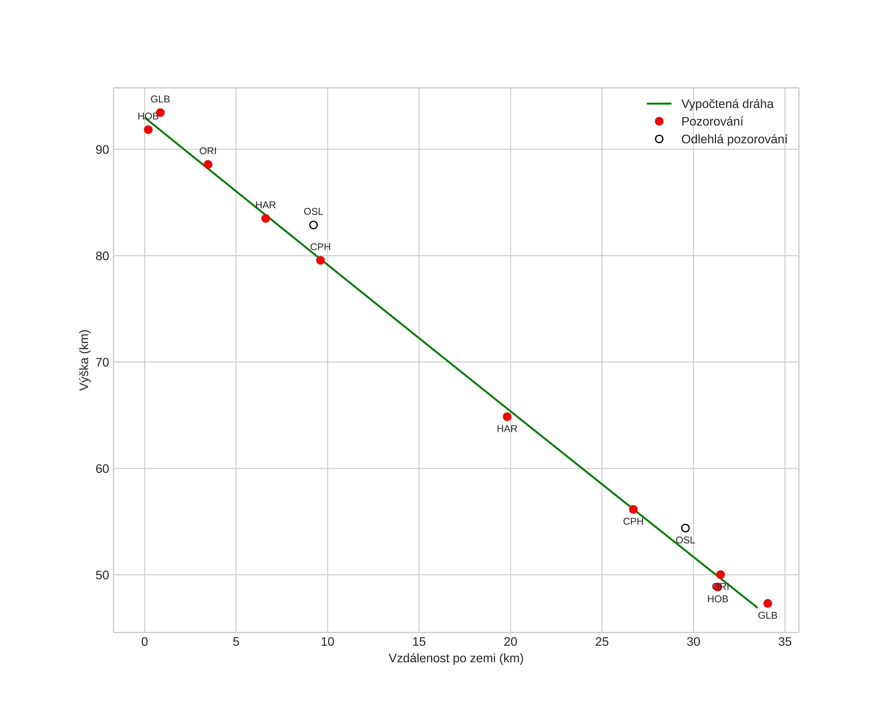
height profile
Atmosférická dráha meteoru:
Počáteční výška: 93,0 km
Konečná výška: 46,9 km
Počáteční poloha: 55,682N 9,511E
Konečná poloha: 55,795N 9,015E
Směr: 292,2°
Sklon: 54,0°
VstupnĂ­ rychlost: 33,0 km/s
Rektascenze radiantu: 07:35 (114,0°)
Deklinace radiantu: 32,1°
MeteorickĂ˝ roj: Geminidy
Elementy dráhy meteoroidu:
Vzdálenost v periheliu: 0,159 AU
Excentricita: 0,853
Sklon dráhy: 19,7°
Délka vzestupného uzlu: 261,4°
Argument perihelia: 325,1°
Střední anomálie: 324,8°
Epocha: 2015 DEC 13 22:47:13
orbit plot

NeinteraktivnĂ­ graf | InteraktivnĂ­ graf

position vs time
speed and acceleration