🇳🇴 🇬🇧 🇩🇪 🇨🇿 🇫🇮

Meteor, poloha: Utsira 2015-12-14 00:40:42 UTC

Soubor KML  |  InteraktivnĂ­ mapa

Mapa zobrazuje dráhy meteoru. Světlejší čáry ukazují směry od pozorovacích stanic při objevení se meteoru a tmavší čáry, kde byl naposledy viděn. Modrá šipka značí viditelnou dráhu meteoru.

static map
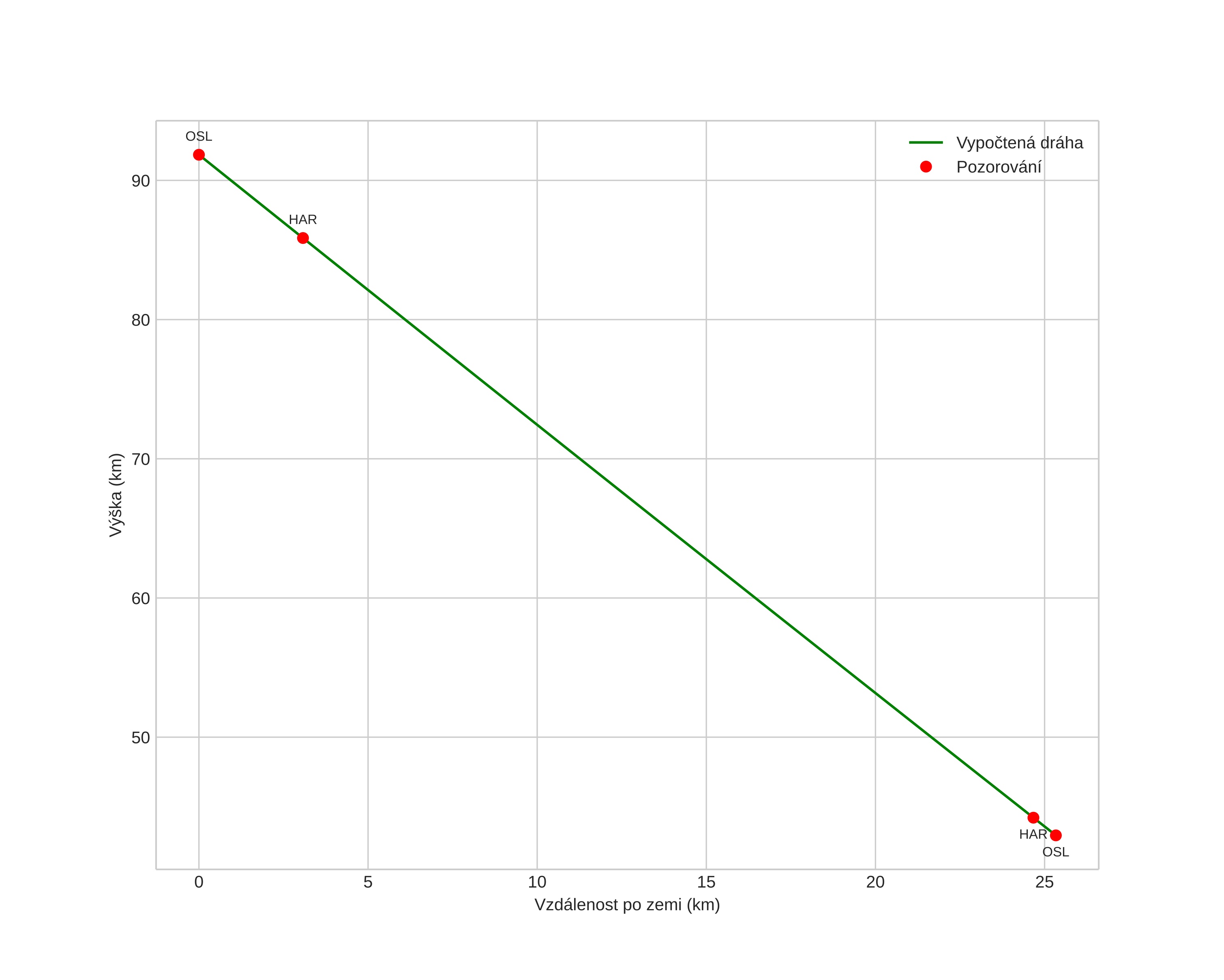
height profile
Atmosférická dráha meteoru:
Počáteční výška: 91,8 km
Konečná výška: 42,9 km
Počáteční poloha: 58,830N 2,576E
Konečná poloha: 59,055N 2,518E
Směr: 352,4°
Sklon: 62,6°
VstupnĂ­ rychlost: 32,1 km/s
Rektascenze radiantu: 06:33 (98,4°)
Deklinace radiantu: 30,6°
MeteorickĂ˝ roj: sporadickĂ˝
Elementy dráhy meteoroidu:
Vzdálenost v periheliu: 0,298 AU
Excentricita: 0,844
Sklon dráhy: 9,9°
Délka vzestupného uzlu: 261,5°
Argument perihelia: 301,5°
Střední anomálie: 344,7°
Epocha: 2015 DEC 14 00:40:42
orbit plot

NeinteraktivnĂ­ graf | InteraktivnĂ­ graf

position vs time
speed and acceleration