🇳🇴 🇬🇧 🇩🇪 🇨🇿 🇫🇮

Meteor, poloha: Torsby 2015-12-14 01:36:35 UTC

Soubor KML  |  InteraktivnĂ­ mapa

Mapa zobrazuje dráhy meteoru. Světlejší čáry ukazují směry od pozorovacích stanic při objevení se meteoru a tmavší čáry, kde byl naposledy viděn. Modrá šipka značí viditelnou dráhu meteoru.

static map
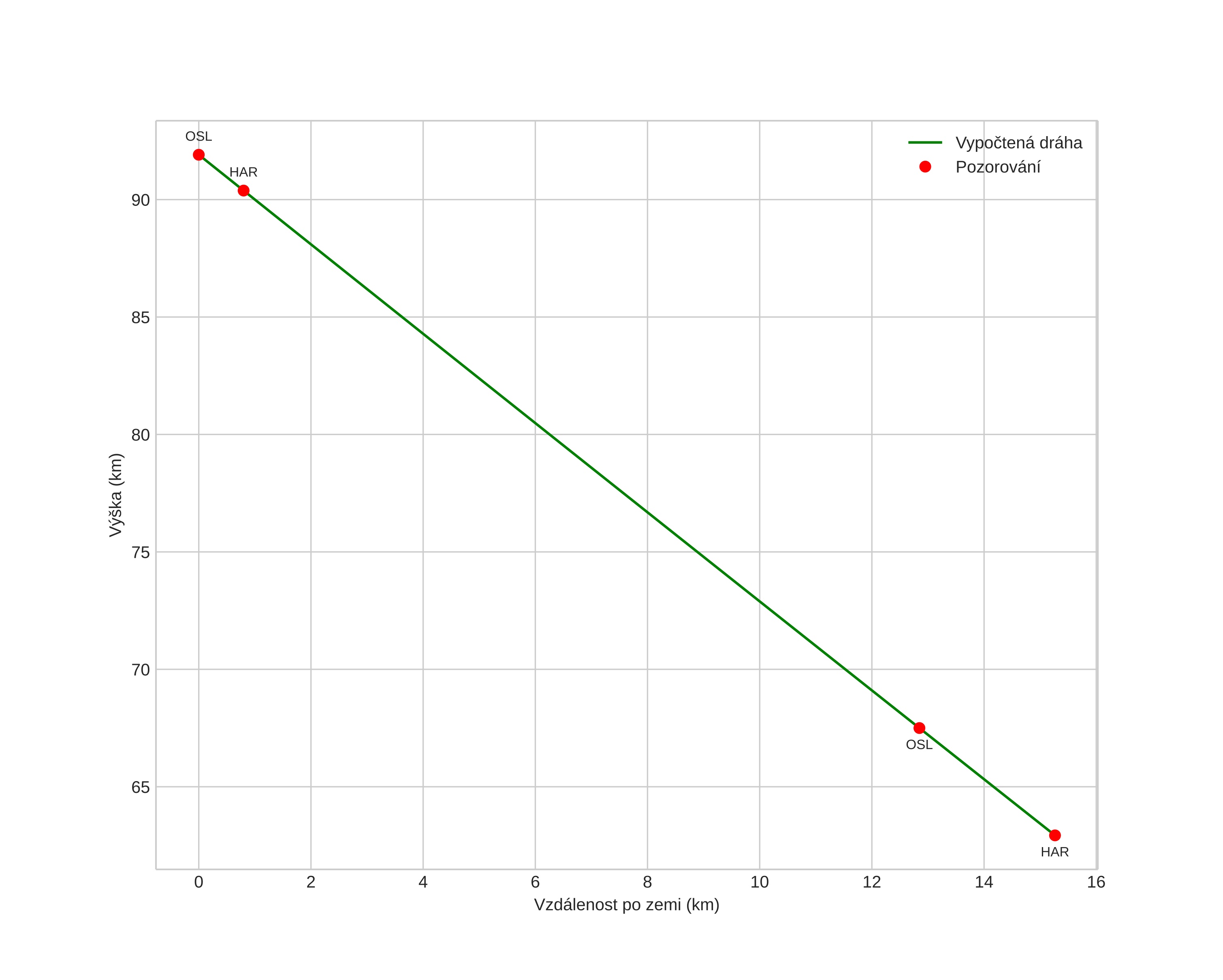
height profile
Atmosférická dráha meteoru:
Počáteční výška: 91,9 km
Konečná výška: 62,9 km
Počáteční poloha: 60,625N 12,973E
Konečná poloha: 60,761N 13,020E
Směr: 9,6°
Sklon: 62,2°
VstupnĂ­ rychlost: 31,5 km/s
Rektascenze radiantu: 07:33 (113,3°)
Deklinace radiantu: 32,0°
MeteorickĂ˝ roj: Geminidy
Elementy dráhy meteoroidu:
Vzdálenost v periheliu: 0,177 AU
Excentricita: 0,832
Sklon dráhy: 17,7°
Délka vzestupného uzlu: 261,5°
Argument perihelia: 323,7°
Střední anomálie: 322,1°
Epocha: 2015 DEC 14 01:36:35
orbit plot

NeinteraktivnĂ­ graf | InteraktivnĂ­ graf

position vs time
speed and acceleration