🇳🇴 🇬🇧 🇩🇪 🇨🇿 🇫🇮

Meteor, poloha: Ă…mot 2015-12-14 02:51:12 UTC

Soubor KML  |  InteraktivnĂ­ mapa

Mapa zobrazuje dráhy meteoru. Světlejší čáry ukazují směry od pozorovacích stanic při objevení se meteoru a tmavší čáry, kde byl naposledy viděn. Modrá šipka značí viditelnou dráhu meteoru.

static map
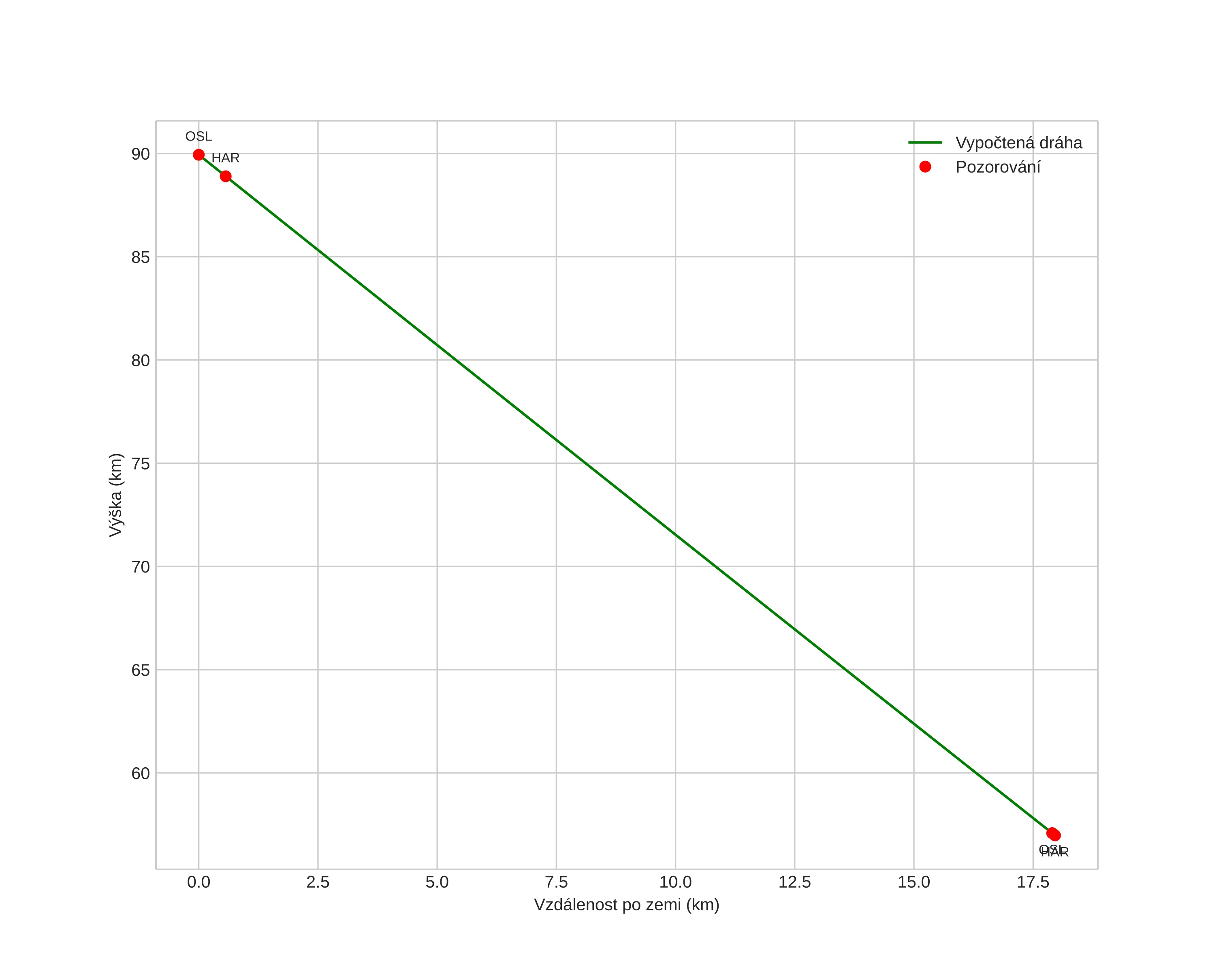
height profile
Atmosférická dráha meteoru:
Počáteční výška: 89,9 km
Konečná výška: 57,0 km
Počáteční poloha: 59,829N 7,608E
Konečná poloha: 59,968N 7,772E
Směr: 30,6°
Sklon: 61,4°
VstupnĂ­ rychlost: 34,3 km/s
Rektascenze radiantu: 07:39 (114,9°)
Deklinace radiantu: 32,5°
MeteorickĂ˝ roj: Geminidy
Elementy dráhy meteoroidu:
Vzdálenost v periheliu: 0,145 AU
Excentricita: 0,874
Sklon dráhy: 23,0°
Délka vzestupného uzlu: 261,6°
Argument perihelia: 326,0°
Střední anomálie: 328,8°
Epocha: 2015 DEC 14 02:51:12
orbit plot

NeinteraktivnĂ­ graf | InteraktivnĂ­ graf

position vs time
speed and acceleration