🇳🇴 🇬🇧 🇩🇪 🇨🇿 🇫🇮

Meteor, poloha: Dokka 2015-12-14 02:54:19 UTC

Soubor KML  |  InteraktivnĂ­ mapa

Mapa zobrazuje dráhy meteoru. Světlejší čáry ukazují směry od pozorovacích stanic při objevení se meteoru a tmavší čáry, kde byl naposledy viděn. Modrá šipka značí viditelnou dráhu meteoru.

static map
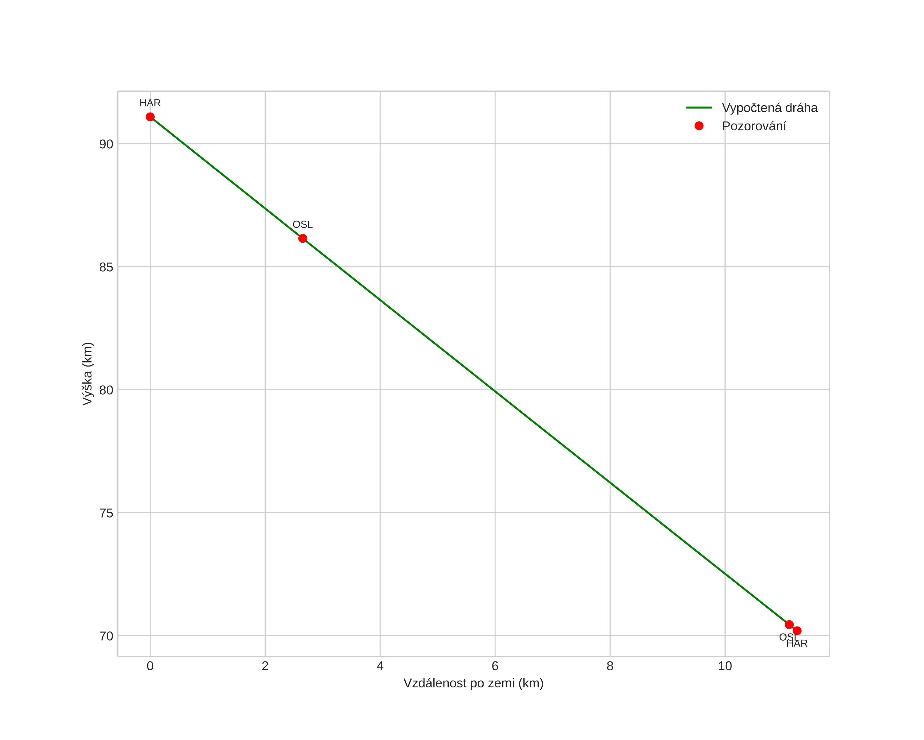
height profile
Atmosférická dráha meteoru:
Počáteční výška: 91,1 km
Konečná výška: 70,2 km
Počáteční poloha: 60,806N 9,748E
Konečná poloha: 60,880N 9,890E
Směr: 43,1°
Sklon: 61,7°
VstupnĂ­ rychlost: 34,0 km/s
Rektascenze radiantu: 07:23 (110,8°)
Deklinace radiantu: 35,9°
MeteorickĂ˝ roj: Geminidy
Elementy dráhy meteoroidu:
Vzdálenost v periheliu: 0,199 AU
Excentricita: 0,852
Sklon dráhy: 24,5°
Délka vzestupného uzlu: 261,6°
Argument perihelia: 317,2°
Střední anomálie: 334,6°
Epocha: 2015 DEC 14 02:54:19
orbit plot

NeinteraktivnĂ­ graf | InteraktivnĂ­ graf

position vs time
speed and acceleration