🇳🇴 🇬🇧 🇩🇪 🇨🇿 🇫🇮

Meteor, poloha: Torsby 2015-12-14 03:19:37 UTC

Soubor KML  |  InteraktivnĂ­ mapa

Mapa zobrazuje dráhy meteoru. Světlejší čáry ukazují směry od pozorovacích stanic při objevení se meteoru a tmavší čáry, kde byl naposledy viděn. Modrá šipka značí viditelnou dráhu meteoru.

static map
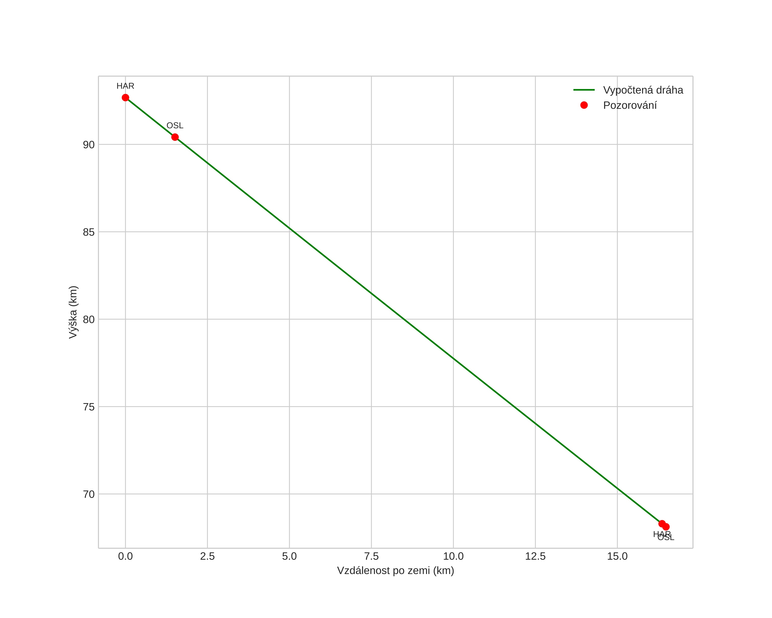
height profile
Atmosférická dráha meteoru:
Počáteční výška: 92,7 km
Konečná výška: 68,1 km
Počáteční poloha: 60,373N 12,670E
Konečná poloha: 60,468N 12,899E
Směr: 49,7°
Sklon: 56,2°
VstupnĂ­ rychlost: 33,4 km/s
Rektascenze radiantu: 07:33 (113,5°)
Deklinace radiantu: 31,9°
MeteorickĂ˝ roj: Geminidy
Elementy dráhy meteoroidu:
Vzdálenost v periheliu: 0,157 AU
Excentricita: 0,863
Sklon dráhy: 19,8°
Délka vzestupného uzlu: 261,6°
Argument perihelia: 324,6°
Střední anomálie: 328,1°
Epocha: 2015 DEC 14 03:19:37
orbit plot

NeinteraktivnĂ­ graf | InteraktivnĂ­ graf

position vs time
speed and acceleration