🇳🇴 🇬🇧 🇩🇪 🇨🇿 🇫🇮

Meteor, poloha: Munkedal 2015-12-14 04:08:11 UTC

Soubor KML  |  InteraktivnĂ­ mapa

Mapa zobrazuje dráhy meteoru. Světlejší čáry ukazují směry od pozorovacích stanic při objevení se meteoru a tmavší čáry, kde byl naposledy viděn. Modrá šipka značí viditelnou dráhu meteoru.

static map
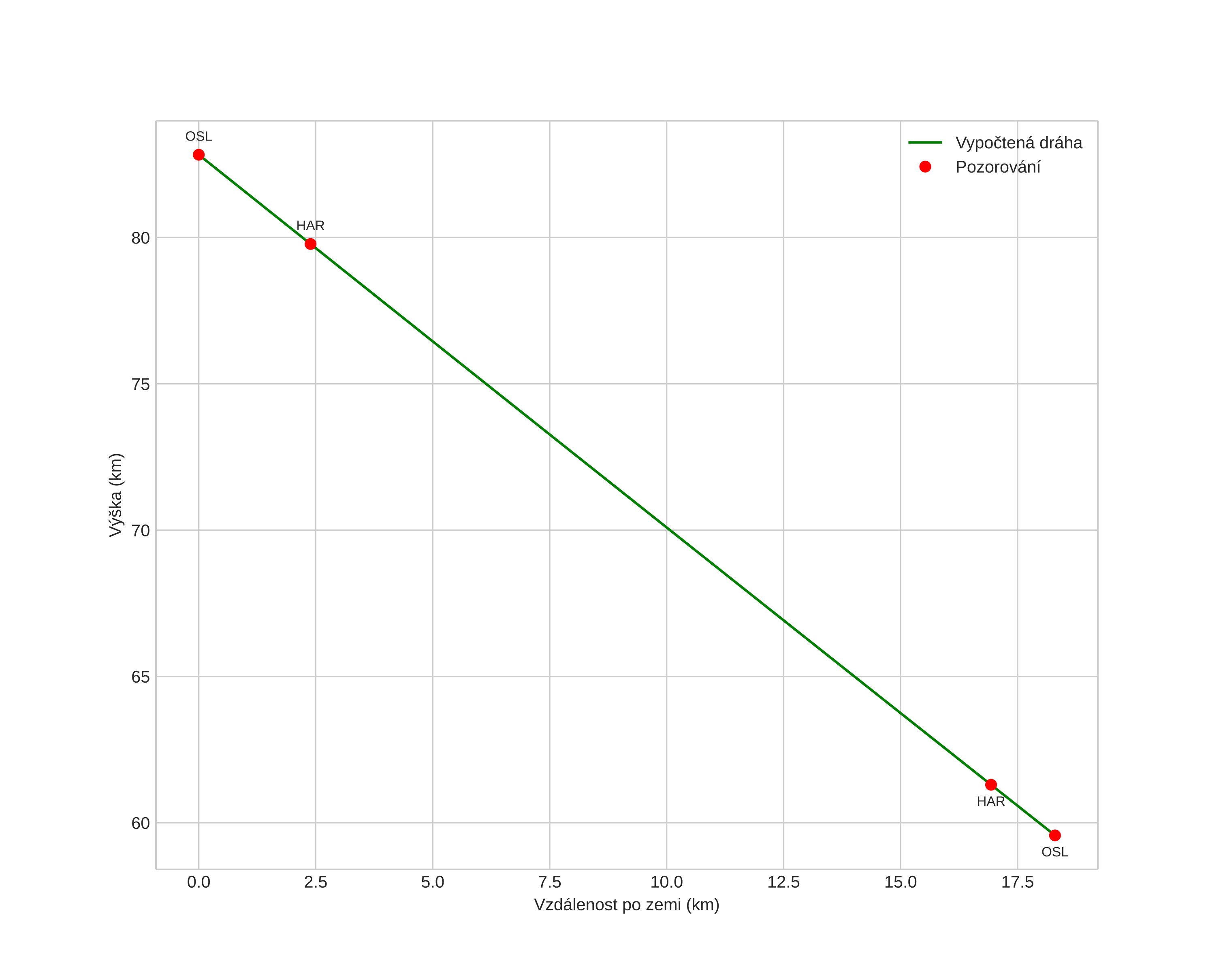
height profile
Atmosférická dráha meteoru:
Počáteční výška: 82,8 km
Konečná výška: 59,6 km
Počáteční poloha: 58,540N 11,450E
Konečná poloha: 58,589N 11,751E
Směr: 72,4°
Sklon: 51,7°
VstupnĂ­ rychlost: 29,5 km/s
Rektascenze radiantu: 07:13 (108,3°)
Deklinace radiantu: 33,4°
MeteorickĂ˝ roj: Geminidy
Elementy dráhy meteoroidu:
Vzdálenost v periheliu: 0,246 AU
Excentricita: 0,784
Sklon dráhy: 15,1°
Délka vzestupného uzlu: 261,6°
Argument perihelia: 315,0°
Střední anomálie: 324,1°
Epocha: 2015 DEC 14 04:08:11
orbit plot

NeinteraktivnĂ­ graf | InteraktivnĂ­ graf

position vs time
speed and acceleration