🇳🇴 🇬🇧 🇩🇪 🇨🇿 🇫🇮

Meteor, poloha: Aurlandsvangen 2015-12-14 04:20:18 UTC

Soubor KML  |  InteraktivnĂ­ mapa

Mapa zobrazuje dráhy meteoru. Světlejší čáry ukazují směry od pozorovacích stanic při objevení se meteoru a tmavší čáry, kde byl naposledy viděn. Modrá šipka značí viditelnou dráhu meteoru.

static map
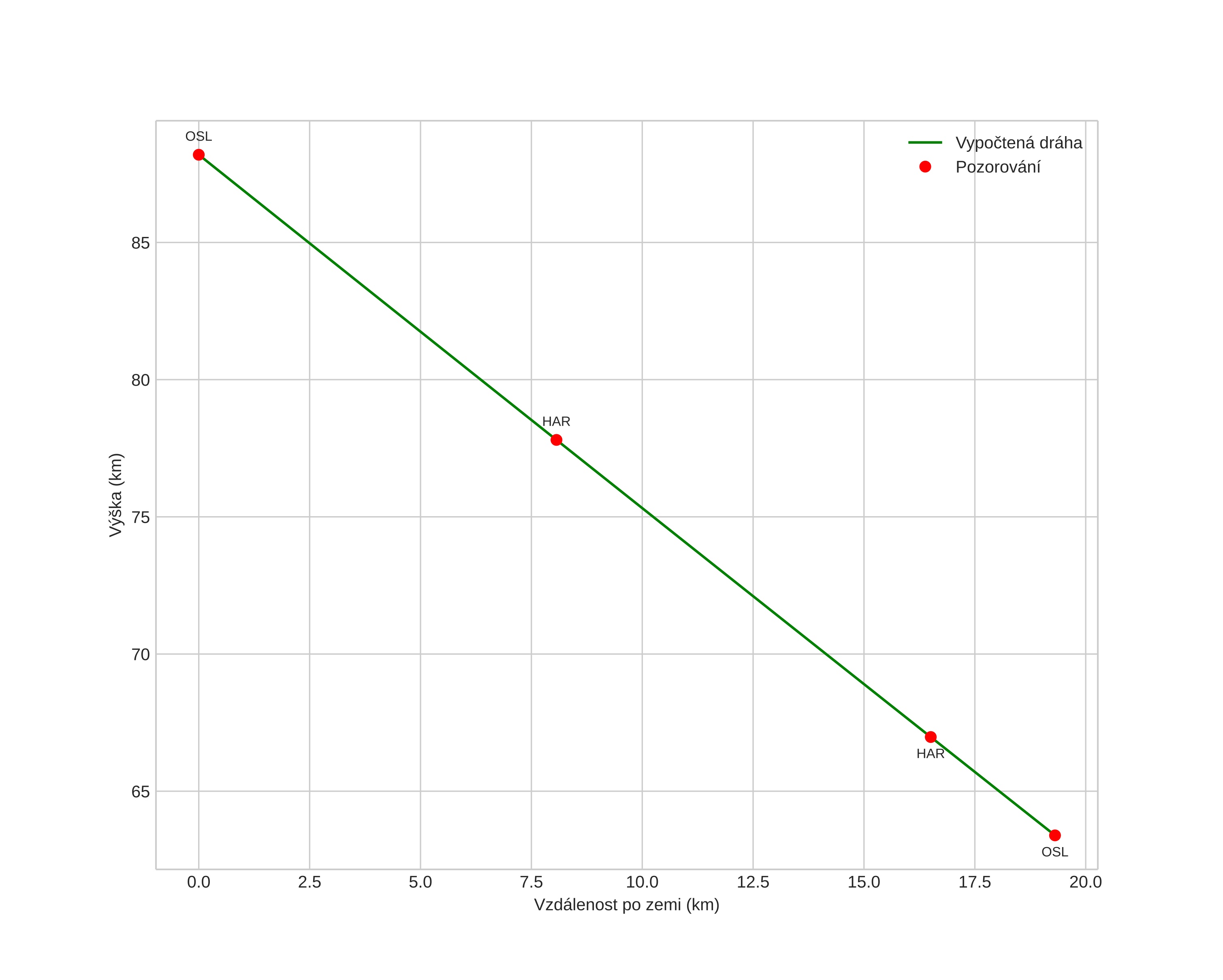
height profile
Atmosférická dráha meteoru:
Počáteční výška: 88,2 km
Konečná výška: 63,4 km
Počáteční poloha: 60,780N 6,779E
Konečná poloha: 60,859N 7,096E
Směr: 62,7°
Sklon: 52,1°
VstupnĂ­ rychlost: 33,2 km/s
Rektascenze radiantu: 07:28 (112,2°)
Deklinace radiantu: 32,2°
MeteorickĂ˝ roj: Geminidy
Elementy dráhy meteoroidu:
Vzdálenost v periheliu: 0,170 AU
Excentricita: 0,856
Sklon dráhy: 19,2°
Délka vzestupného uzlu: 261,6°
Argument perihelia: 322,5°
Střední anomálie: 329,5°
Epocha: 2015 DEC 14 04:20:18
orbit plot

NeinteraktivnĂ­ graf | InteraktivnĂ­ graf

position vs time
speed and acceleration