🇳🇴 🇬🇧 🇩🇪 🇨🇿 🇫🇮

Meteor, poloha: Dokka 2015-12-14 04:55:57 UTC

Soubor KML  |  InteraktivnĂ­ mapa

Mapa zobrazuje dráhy meteoru. Světlejší čáry ukazují směry od pozorovacích stanic při objevení se meteoru a tmavší čáry, kde byl naposledy viděn. Modrá šipka značí viditelnou dráhu meteoru.

static map
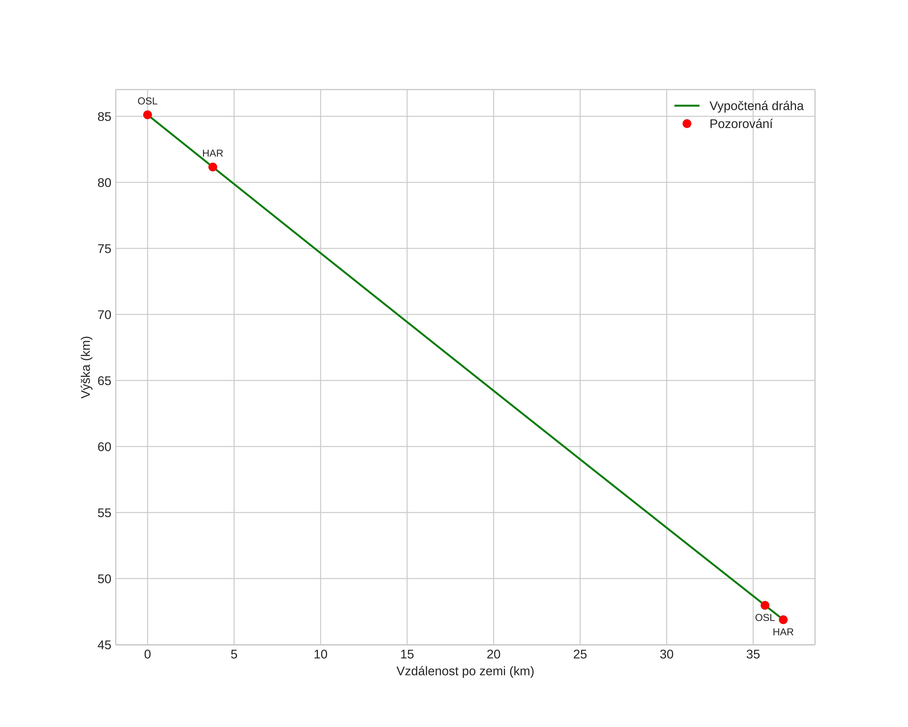
height profile
Atmosférická dráha meteoru:
Počáteční výška: 85,1 km
Konečná výška: 46,9 km
Počáteční poloha: 60,505N 9,386E
Konečná poloha: 60,626N 10,012E
Směr: 68,2°
Sklon: 46,1°
VstupnĂ­ rychlost: 30,8 km/s
Rektascenze radiantu: 07:45 (116,4°)
Deklinace radiantu: 28,5°
MeteorickĂ˝ roj: Geminidy
Elementy dráhy meteoroidu:
Vzdálenost v periheliu: 0,146 AU
Excentricita: 0,843
Sklon dráhy: 13,2°
Délka vzestupného uzlu: 261,6°
Argument perihelia: 329,5°
Střední anomálie: 314,4°
Epocha: 2015 DEC 14 04:55:57
orbit plot

NeinteraktivnĂ­ graf | InteraktivnĂ­ graf

position vs time
speed and acceleration