🇳🇴 🇬🇧 🇩🇪 🇨🇿 🇫🇮

Meteor, poloha: Ă…mot 2015-12-14 04:58:46 UTC

Soubor KML  |  InteraktivnĂ­ mapa

Mapa zobrazuje dráhy meteoru. Světlejší čáry ukazují směry od pozorovacích stanic při objevení se meteoru a tmavší čáry, kde byl naposledy viděn. Modrá šipka značí viditelnou dráhu meteoru.

static map
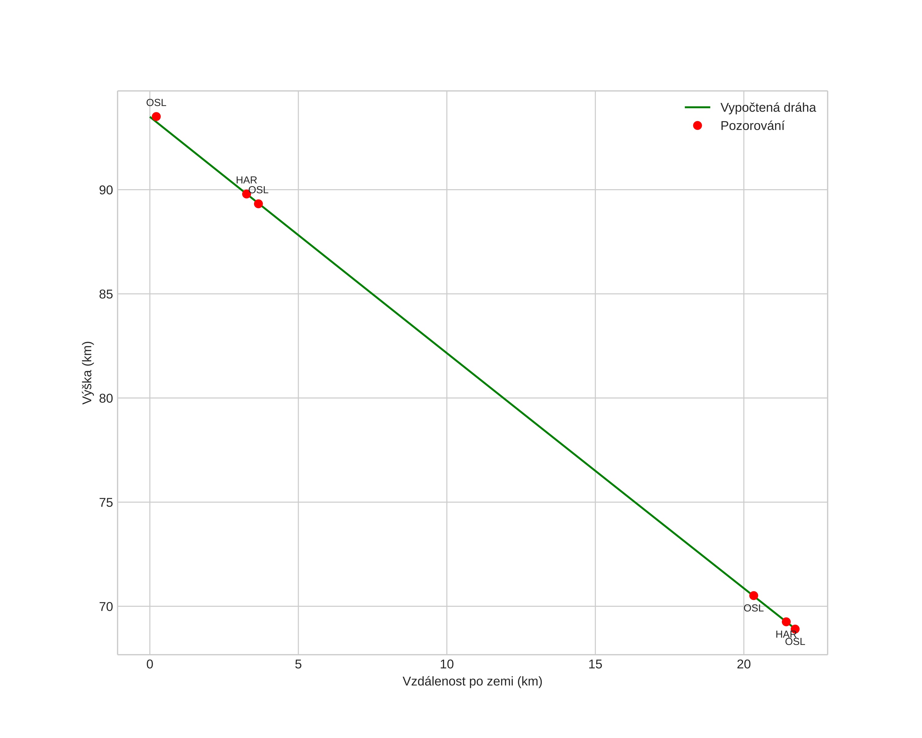
height profile
Atmosférická dráha meteoru:
Počáteční výška: 93,5 km
Konečná výška: 68,9 km
Počáteční poloha: 59,554N 7,817E
Konečná poloha: 59,607N 8,189E
Směr: 74,3°
Sklon: 48,5°
VstupnĂ­ rychlost: 35,0 km/s
Rektascenze radiantu: 07:34 (113,7°)
Deklinace radiantu: 32,6°
MeteorickĂ˝ roj: Geminidy
Elementy dráhy meteoroidu:
Vzdálenost v periheliu: 0,146 AU
Excentricita: 0,883
Sklon dráhy: 23,2°
Délka vzestupného uzlu: 261,6°
Argument perihelia: 324,7°
Střední anomálie: 333,0°
Epocha: 2015 DEC 14 04:58:46
orbit plot

NeinteraktivnĂ­ graf | InteraktivnĂ­ graf

position vs time
speed and acceleration