🇳🇴 🇬🇧 🇩🇪 🇨🇿 🇫🇮

Meteor, poloha: FlĂĄ 2015-12-14 17:43:38 UTC

Soubor KML  |  InteraktivnĂ­ mapa

Mapa zobrazuje dráhy meteoru. Světlejší čáry ukazují směry od pozorovacích stanic při objevení se meteoru a tmavší čáry, kde byl naposledy viděn. Modrá šipka značí viditelnou dráhu meteoru.

static map
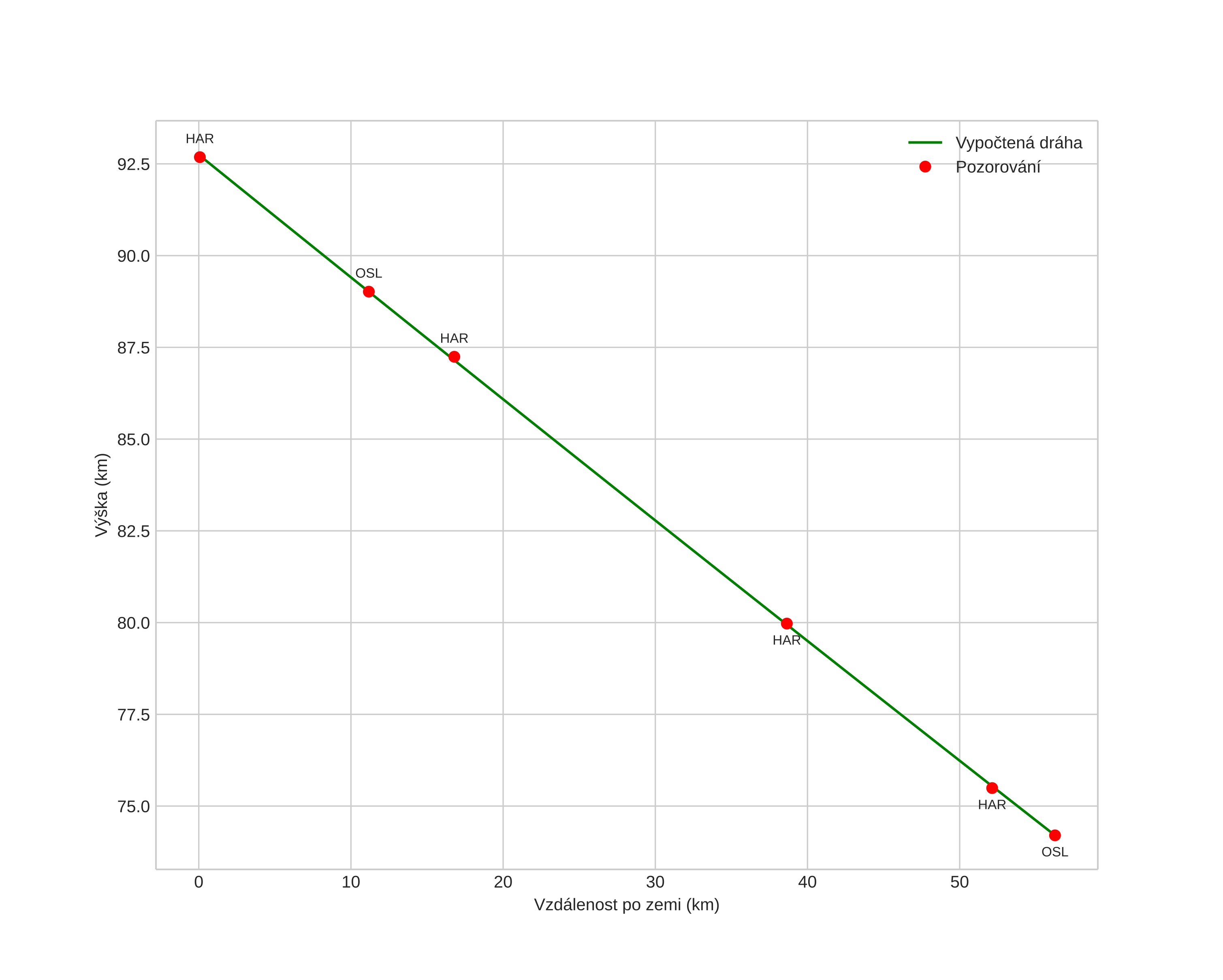
height profile
Atmosférická dráha meteoru:
Počáteční výška: 92,7 km
Konečná výška: 74,2 km
Počáteční poloha: 60,892N 10,198E
Konečná poloha: 60,598N 9,356E
Směr: 234,8°
Sklon: 18,2°
VstupnĂ­ rychlost: 33,7 km/s
Rektascenze radiantu: 07:32 (113,2°)
Deklinace radiantu: 30,7°
MeteorickĂ˝ roj: Geminidy
Elementy dráhy meteoroidu:
Vzdálenost v periheliu: 0,158 AU
Excentricita: 0,865
Sklon dráhy: 17,4°
Délka vzestupného uzlu: 262,2°
Argument perihelia: 324,1°
Střední anomálie: 329,4°
Epocha: 2015 DEC 14 17:43:38
orbit plot

NeinteraktivnĂ­ graf | InteraktivnĂ­ graf

position vs time
speed and acceleration