🇳🇴 🇬🇧 🇩🇪 🇨🇿 🇫🇮

Meteor Halsin yllä 2015-12-14 19:26:49 UTC

KML-tiedosto  |  Interaktiivinen kartta

Kartta näyttää meteorin suuntahavainnot. Vaaleammat viivat näyttävät suunnat havaintoasemilta meteorin ilmestyessä, ja tummemmat viivat näyttävät, missä se viimeksi nähtiin. Sininen nuoli näyttää meteorin näkyvän lennon.

static map
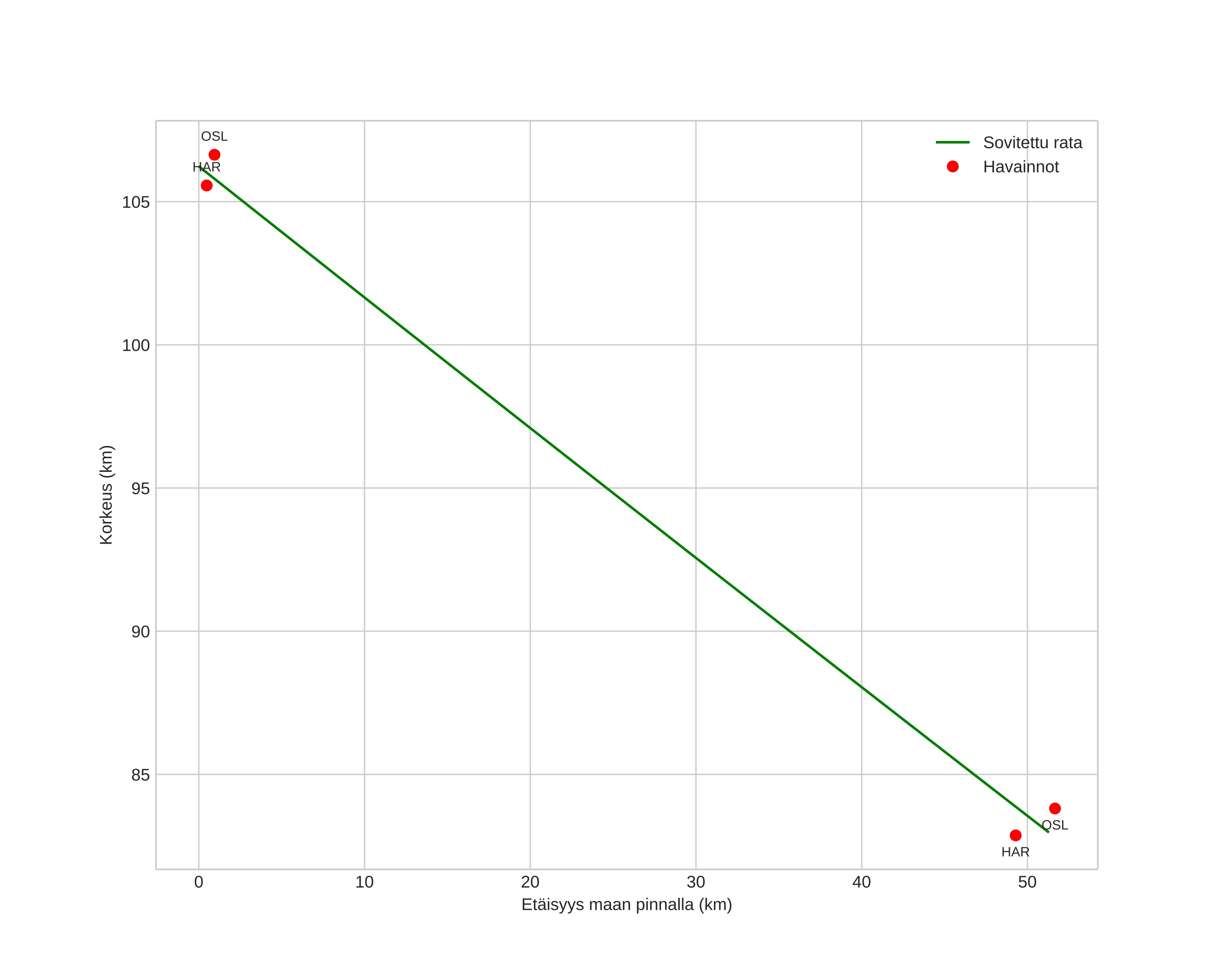
height profile
Meteorin ilmakehärata:
Alkukorkeus: 106,2 km
Loppukorkeus: 83,0 km
Alkupiste: 56,997N 11,153E
Loppupiste: 56,769N 10,419E
Suunta: 240,8°
Kallistuskulma: 24,3°
Tulonopeus: 42,3 km/s
Radiantin R,A,: 08:29 (127,3°)
Radiantin Dekl,: 35,2°
Meteoriparvi: Sporadinen
Meteoroidin rataelementit:
Perihelietäisyys: 0,087 AU
Eksentrisyys: 0,931
Inklinaatio: 61,9°
Nousevan solmun pituus: 262,3°
Perihelin argumentti: 333,0°
Keskianomalia: 335,3°
Epookki: 2015 DEC 14 19:26:49
orbit plot

Ei-interaktiivinen kuvaaja | Interaktiivinen kuvaaja

position vs time
speed and acceleration