🇳🇴 🇬🇧 🇩🇪 🇨🇿 🇫🇮

Meteor, poloha: Hamar 2015-12-14 20:07:31 UTC

Soubor KML  |  InteraktivnĂ­ mapa

Mapa zobrazuje dráhy meteoru. Světlejší čáry ukazují směry od pozorovacích stanic při objevení se meteoru a tmavší čáry, kde byl naposledy viděn. Modrá šipka značí viditelnou dráhu meteoru.

static map
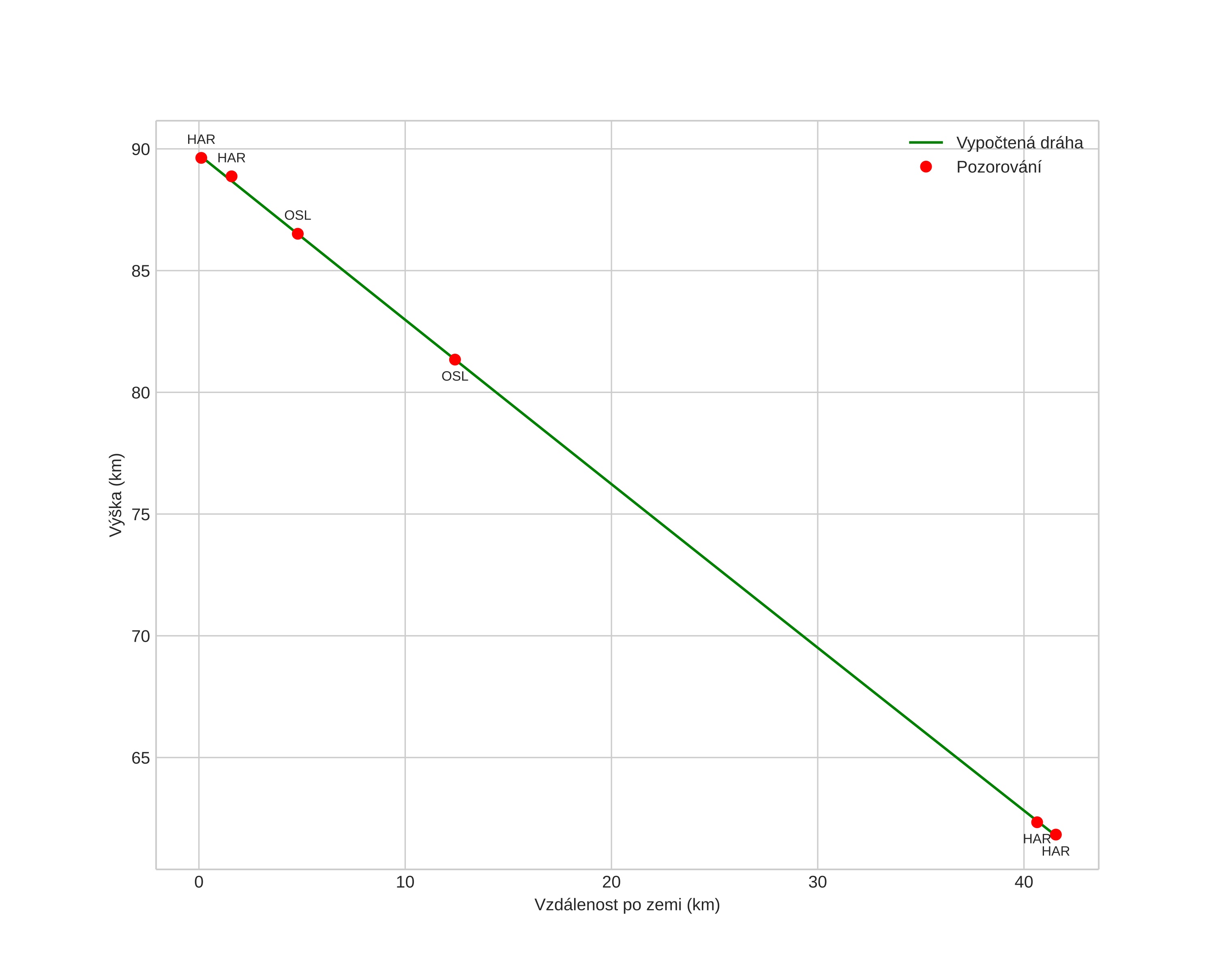
height profile
Atmosférická dráha meteoru:
Počáteční výška: 89,8 km
Konečná výška: 61,8 km
Počáteční poloha: 60,889N 11,941E
Konečná poloha: 60,867N 11,175E
Směr: 266,9°
Sklon: 34,0°
VstupnĂ­ rychlost: 31,6 km/s
Rektascenze radiantu: 07:28 (112,1°)
Deklinace radiantu: 29,2°
MeteorickĂ˝ roj: Geminidy
Elementy dráhy meteoroidu:
Vzdálenost v periheliu: 0,181 AU
Excentricita: 0,834
Sklon dráhy: 12,3°
Délka vzestupného uzlu: 262,3°
Argument perihelia: 322,7°
Střední anomálie: 324,1°
Epocha: 2015 DEC 14 20:07:31
orbit plot

NeinteraktivnĂ­ graf | InteraktivnĂ­ graf

position vs time
speed and acceleration