🇳🇴 🇬🇧 🇩🇪 🇨🇿 🇫🇮

Meteor, poloha: Måløy 2015-12-14 20:34:07 UTC

Soubor KML  |  InteraktivnĂ­ mapa

Mapa zobrazuje dráhy meteoru. Světlejší čáry ukazují směry od pozorovacích stanic při objevení se meteoru a tmavší čáry, kde byl naposledy viděn. Modrá šipka značí viditelnou dráhu meteoru.

static map
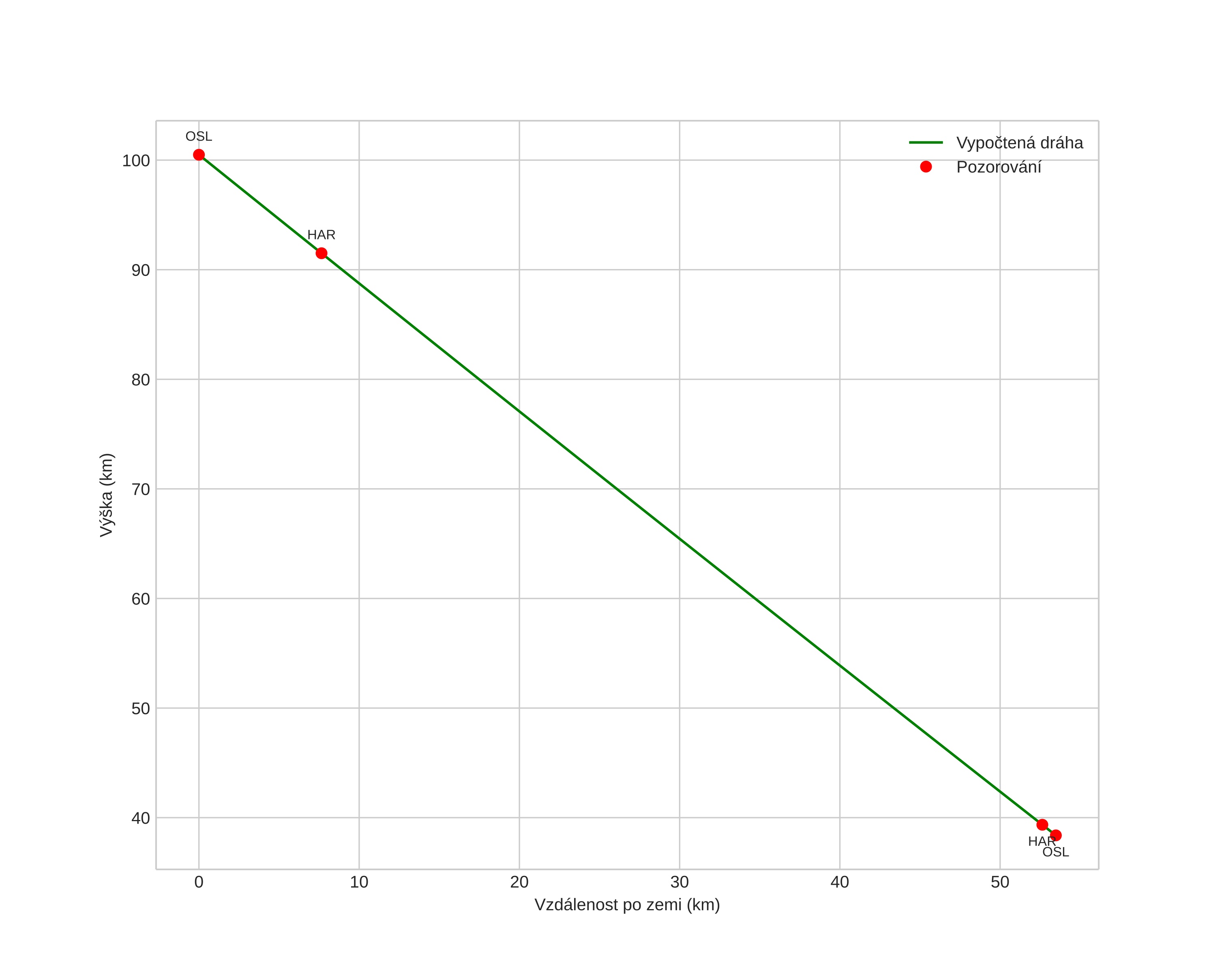
height profile
Atmosférická dráha meteoru:
Počáteční výška: 100,5 km
Konečná výška: 38,4 km
Počáteční poloha: 62,964N 4,431E
Konečná poloha: 62,574N 3,815E
Směr: 216,2°
Sklon: 49,3°
VstupnĂ­ rychlost: 34,6 km/s
Rektascenze radiantu: 09:42 (145,6°)
Deklinace radiantu: 65,6°
MeteorickĂ˝ roj: sporadickĂ˝
Elementy dráhy meteoroidu:
Vzdálenost v periheliu: 0,605 AU
Excentricita: 0,569
Sklon dráhy: 55,5°
Délka vzestupného uzlu: 262,3°
Argument perihelia: 273,5°
Střední anomálie: 329,5°
Epocha: 2015 DEC 14 20:34:07
orbit plot

NeinteraktivnĂ­ graf | InteraktivnĂ­ graf

position vs time
speed and acceleration